Официальное опубликование правовых актов
ОФИЦИАЛЬНОЕ ОПУБЛИКОВАНИЕ
Приказ министерства архитектуры и градостроительства Воронежской области от 06.05.2025 № 45-01-04/229
"О внесении изменений в правила землепользования и застройки Белогорьевского сельского поселения Подгоренского муниципального района Воронежской области"
(Зарегистрирован 26.05.2025 № 574)
Номер опубликования: 3601202505270002
Дата опубликования: 27.05.2025
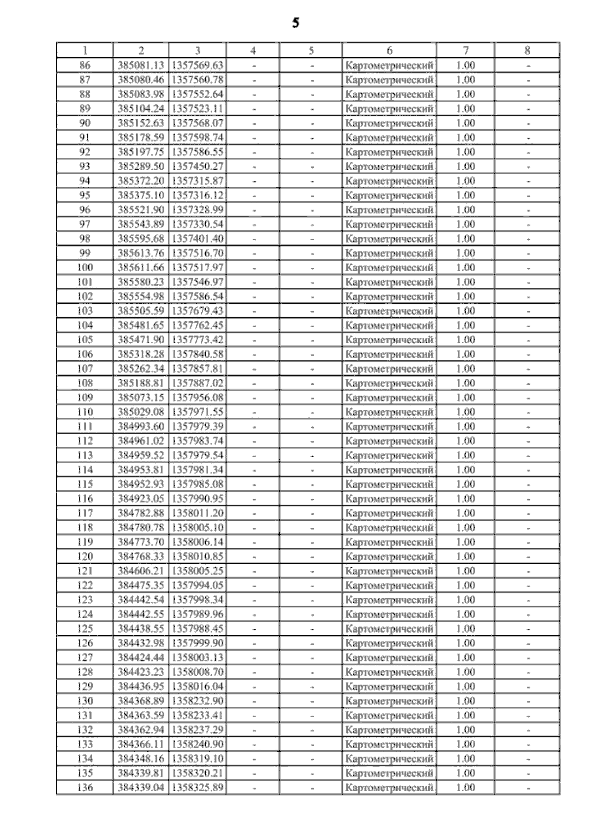
Страница №18 из 70:
Увеличить