Официальное опубликование правовых актов
ОФИЦИАЛЬНОЕ ОПУБЛИКОВАНИЕ
Приказ министерства архитектуры и градостроительства Воронежской области от 24.04.2025 № 45-01-04/226
"О внесении изменений в правила землепользования и застройки Селявинского сельского поселения Лискинского муниципального района Воронежской области"
(Зарегистрирован 19.05.2025 № 545)
Номер опубликования: 3601202505200007
Дата опубликования: 20.05.2025
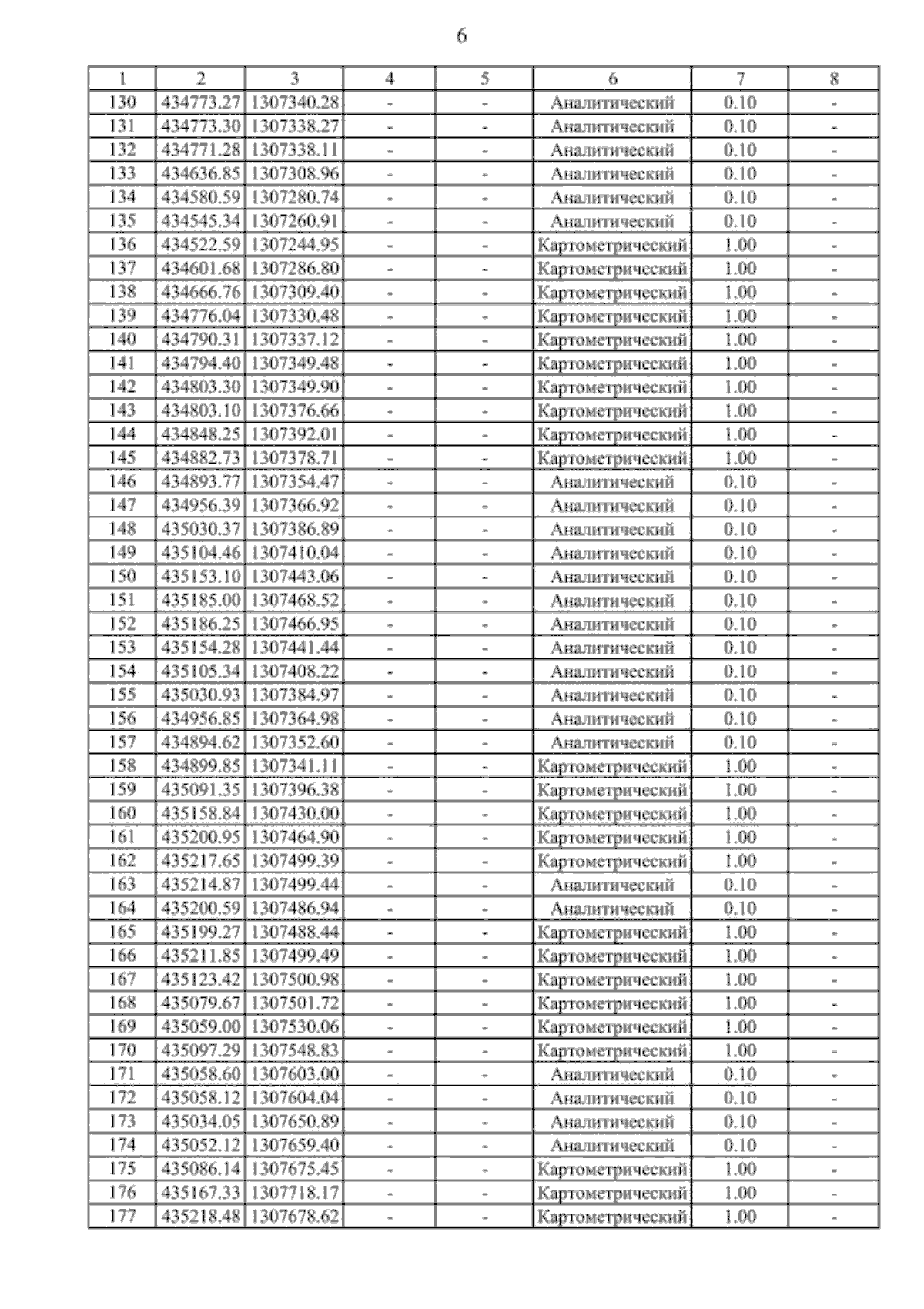
Страница №26 из 34:
Увеличить