Официальное опубликование правовых актов
ОФИЦИАЛЬНОЕ ОПУБЛИКОВАНИЕ
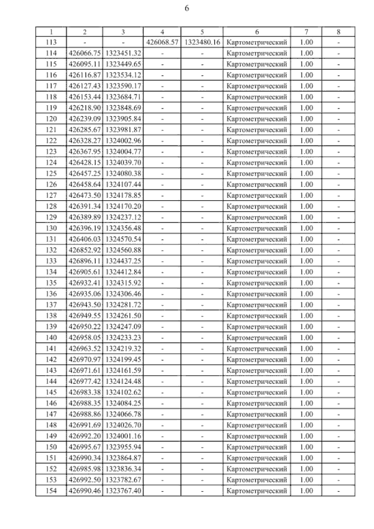
Приказ министерства архитектуры и градостроительства Воронежской области от 24.04.2025 № 45-01-04/224
"О внесении изменений в правила землепользования и застройки Коломыцевского сельского поселения Лискинского муниципального района Воронежской области"
(Зарегистрирован 19.05.2025 № 543)
Номер опубликования: 3601202505200005
Дата опубликования: 20.05.2025
Страница №15 из 22:
Увеличить