Официальное опубликование правовых актов
ОФИЦИАЛЬНОЕ ОПУБЛИКОВАНИЕ
Приказ министерства архитектуры и градостроительства Воронежской области от 24.04.2025 № 45-01-04/225
"О внесении изменений в правила землепользования и застройки Рождественско-Хавского сельского поселения Новоусманского муниципального района Воронежской области"
(Зарегистрирован 19.05.2025 № 544)
Номер опубликования: 3601202505200004
Дата опубликования: 20.05.2025
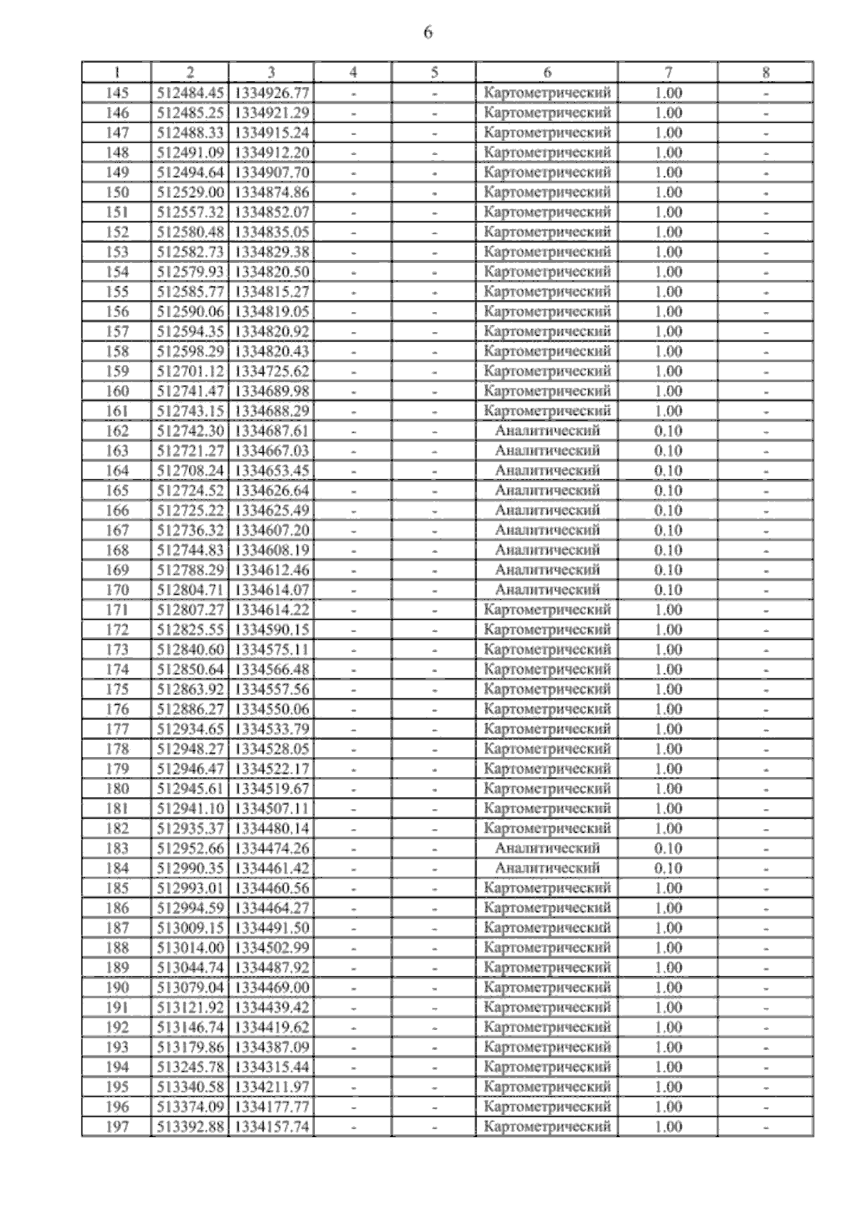
Страница №13 из 90:
Увеличить