Официальное опубликование правовых актов
ОФИЦИАЛЬНОЕ ОПУБЛИКОВАНИЕ
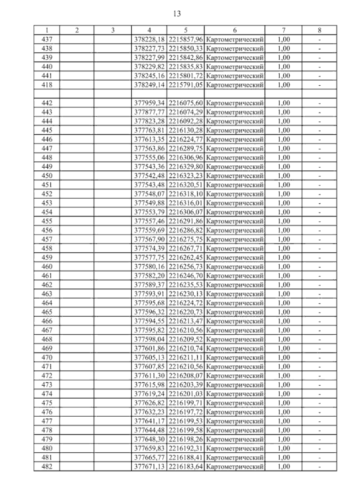
Приказ министерства архитектуры и градостроительства Воронежской области от 24.04.2025 № 45-01-04/227
"О внесении изменений в правила землепользования и застройки городского поселения – город Калач Калачеевского муниципального района Воронежской области"
(Зарегистрирован 19.05.2025 № 546)
Номер опубликования: 3601202505200003
Дата опубликования: 20.05.2025
Страница №218 из 342:
Увеличить