Официальное опубликование правовых актов
ОФИЦИАЛЬНОЕ ОПУБЛИКОВАНИЕ
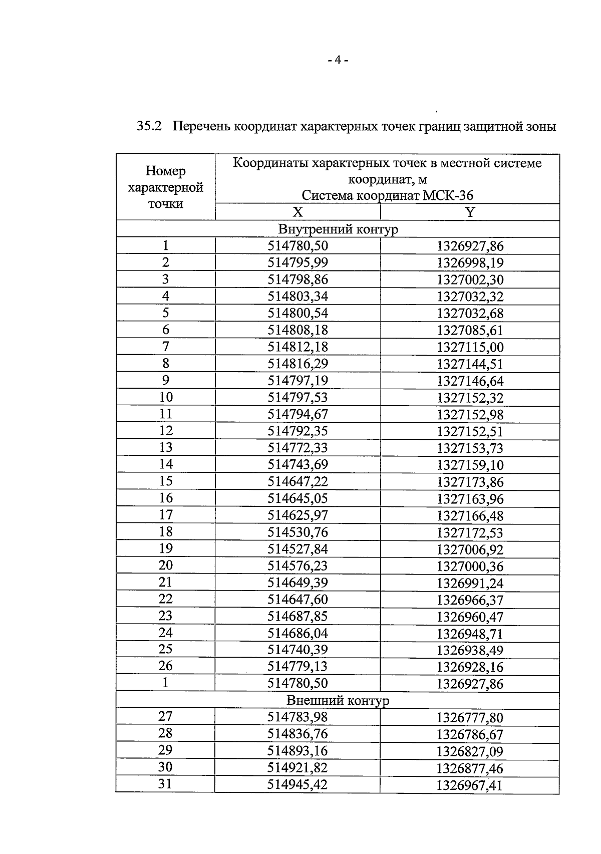
Приказ управления по охране объектов культурного наследия Воронежской области от 21.04.2025 № 71-01-05/83
"О внесении изменения в приказ управления по охране объектов культурного наследия Воронежской области от 12.11.2019 № 71-01-07/288"
(Зарегистрирован 15.05.2025 № 541)
Номер опубликования: 3601202505160004
Дата опубликования: 16.05.2025
Страница №4 из 5:
Увеличить