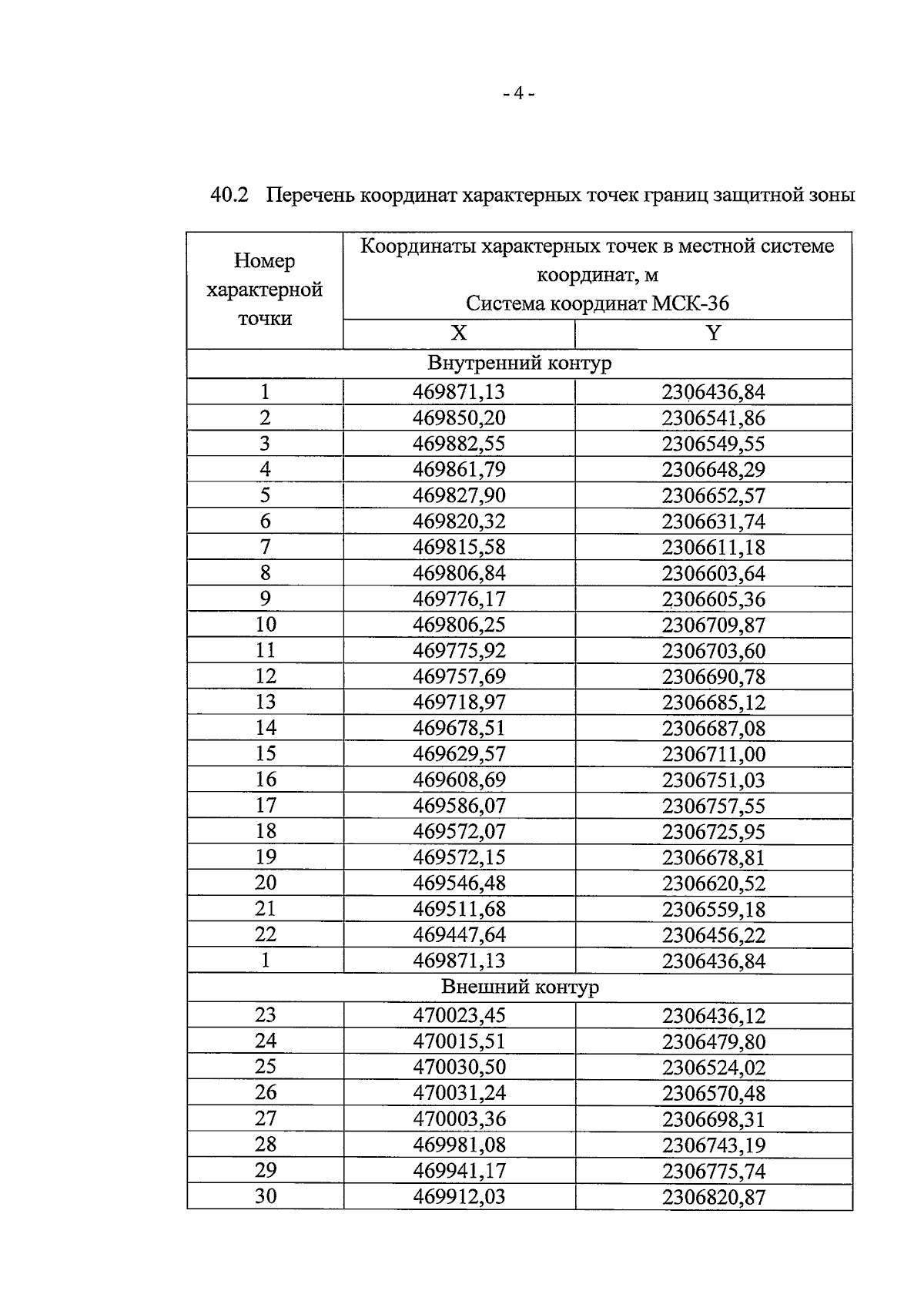
Приказ управления по охране объектов культурного наследия Воронежской области от 21.04.2025 № 71-01-05/84
"О внесении изменения в приказ управления по охране объектов культурного наследия Воронежской области от 29.04.2019 № 71-01-07/115"
(Зарегистрирован 15.05.2025 № 542)
"О внесении изменения в приказ управления по охране объектов культурного наследия Воронежской области от 29.04.2019 № 71-01-07/115"
(Зарегистрирован 15.05.2025 № 542)
Номер опубликования: 3601202505160003
Дата опубликования:
16.05.2025
