Официальное опубликование правовых актов
ОФИЦИАЛЬНОЕ ОПУБЛИКОВАНИЕ
Приказ министерства природных ресурсов и экологии Воронежской области от 29.04.2025 № 195
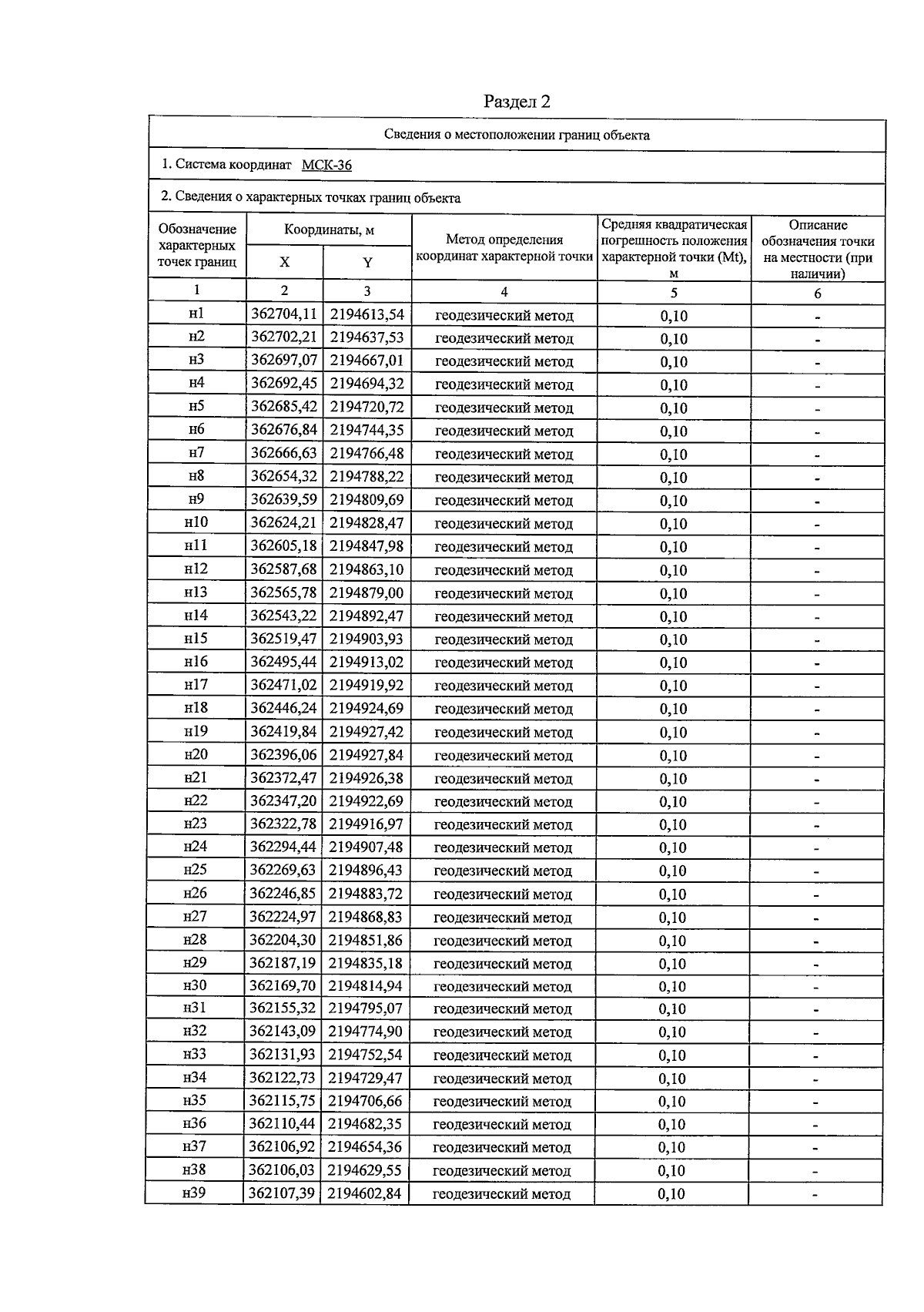
"Об установлении зон санитарной охраны водозабора в составе двух существующих скважин №№ 1/7ГР-19, 2/25ГР-19 и водопроводных сооружений для питьевого, хозяйственно-бытового водоснабжения населения и объектов соцкультбыта Муниципального предприятия Калачеевского муниципального района Воронежской области "Районное водоснабжение"
(Зарегистрирован 13.05.2025 № 526)
Номер опубликования: 3601202505150007
Дата опубликования: 15.05.2025
Страница №16 из 18:
Увеличить