Официальное опубликование правовых актов
ОФИЦИАЛЬНОЕ ОПУБЛИКОВАНИЕ
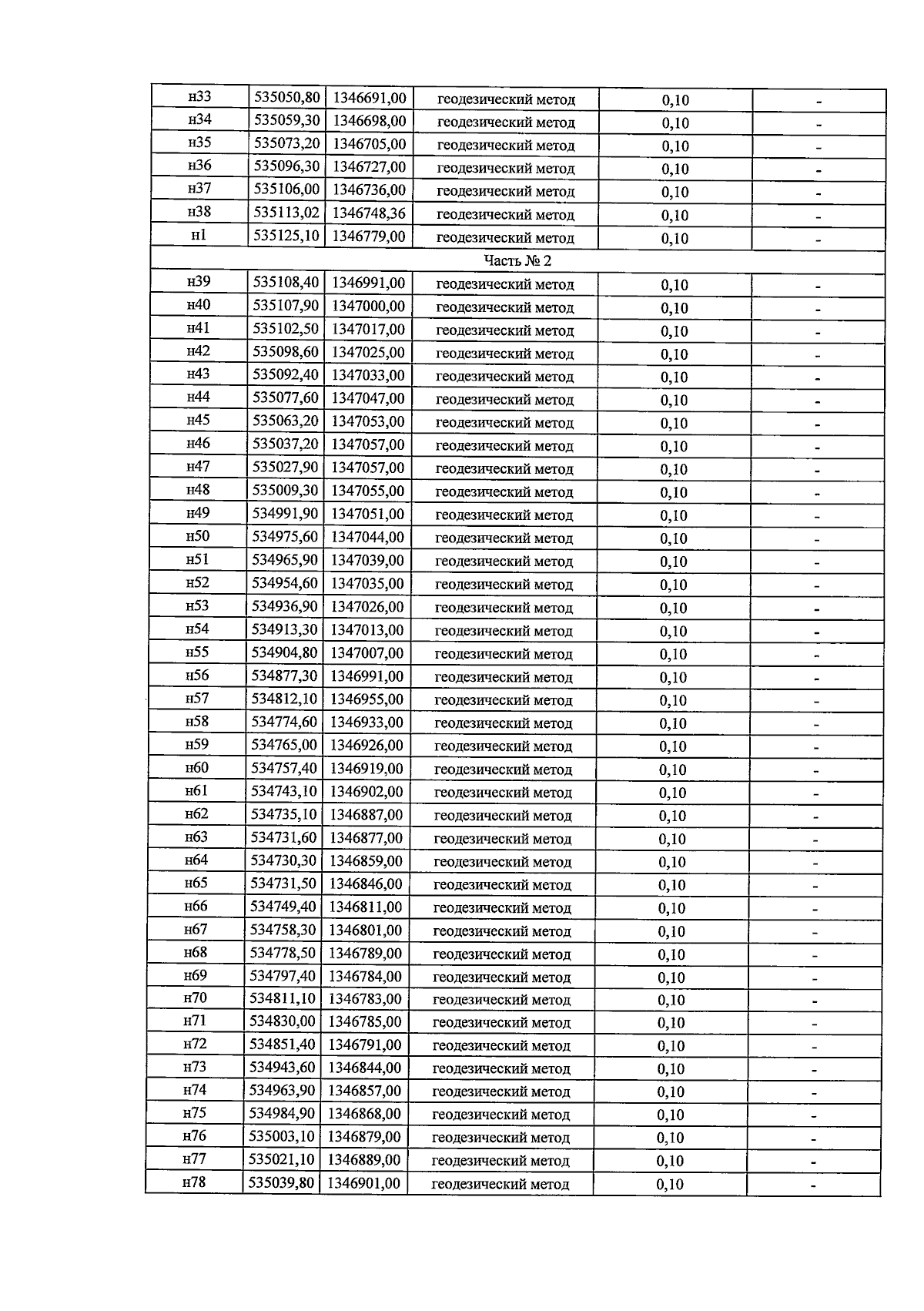
Приказ министерства природных ресурсов и экологии Воронежской области от 29.04.2025 № 191
"Об установлении зон санитарной охраны существующих скважин № 10467, № 12058, № 12058a, № 10652, № 12075, № 12076 для питьевого, хозяйственно-бытового и технологического водоснабжения ООО "Благо-Верхняя Хава"
(Зарегистрирован 13.05.2025 № 522)
Номер опубликования: 3601202505150004
Дата опубликования: 15.05.2025
Страница №18 из 20:
Увеличить