Официальное опубликование правовых актов
ОФИЦИАЛЬНОЕ ОПУБЛИКОВАНИЕ
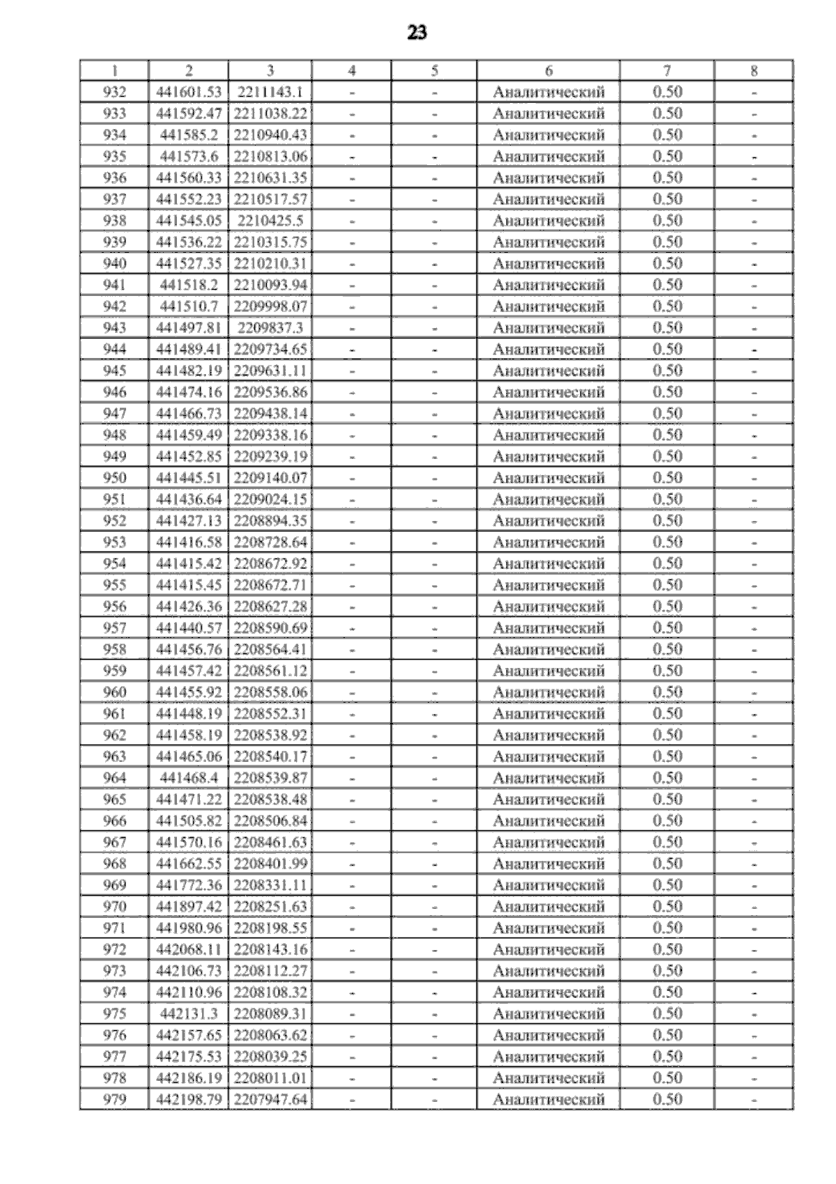
Приказ министерства архитектуры и градостроительства Воронежской области от 17.04.2025 № 45-01-04/205
"О внесении изменений в правила землепользования и застройки Нижнекаменского сельского поселения Таловского муниципального района Воронежской области"
(Зарегистрирован 29.04.2025 № 497)
Номер опубликования: 3601202504300005
Дата опубликования: 30.04.2025
Страница №75 из 81:
Увеличить