Официальное опубликование правовых актов
ОФИЦИАЛЬНОЕ ОПУБЛИКОВАНИЕ
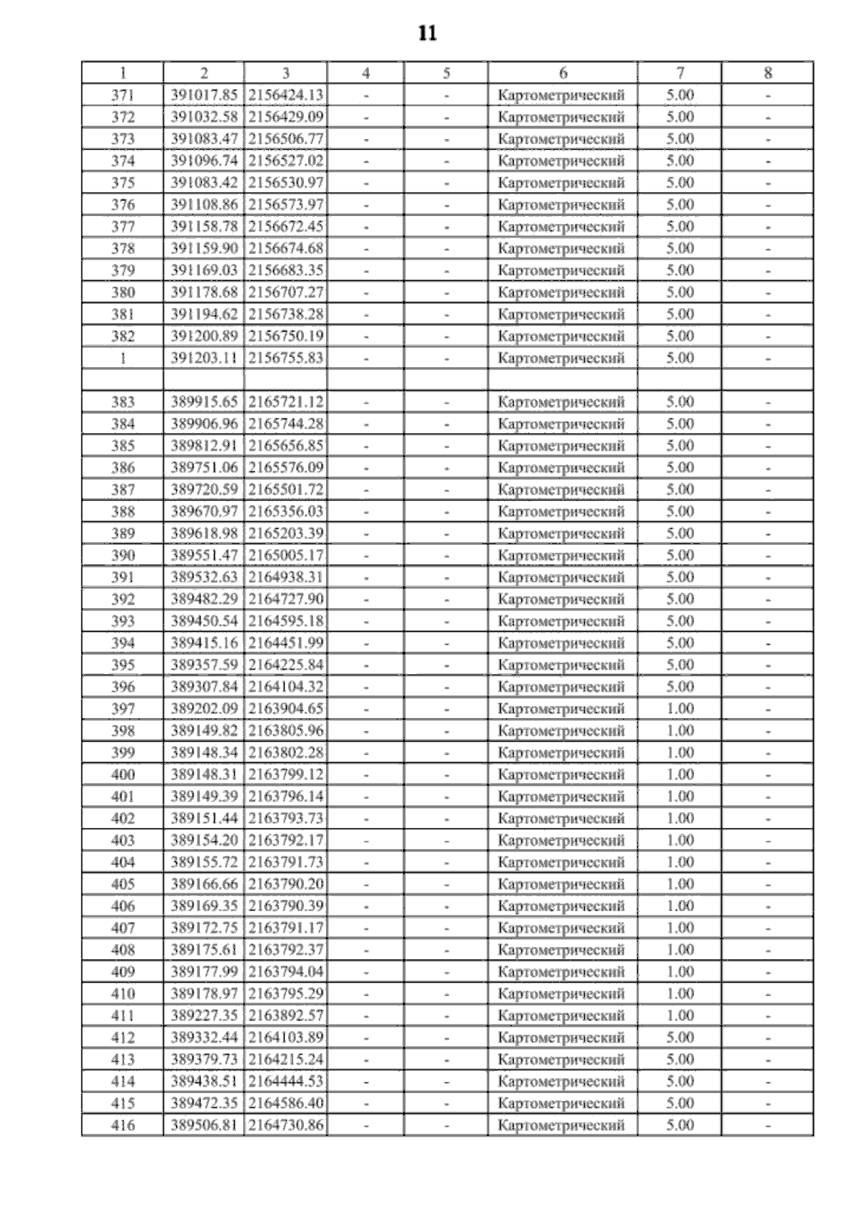
Приказ министерства архитектуры и градостроительства Воронежской области от 17.04.2025 № 45-01-04/206
"О внесении изменений в правила землепользования и застройки Петровского сельского поселения Павловского муниципального района Воронежской области"
(Зарегистрирован 29.04.2025 № 496)
Номер опубликования: 3601202504300004
Дата опубликования: 30.04.2025
Страница №55 из 64:
Увеличить