Официальное опубликование правовых актов
ОФИЦИАЛЬНОЕ ОПУБЛИКОВАНИЕ
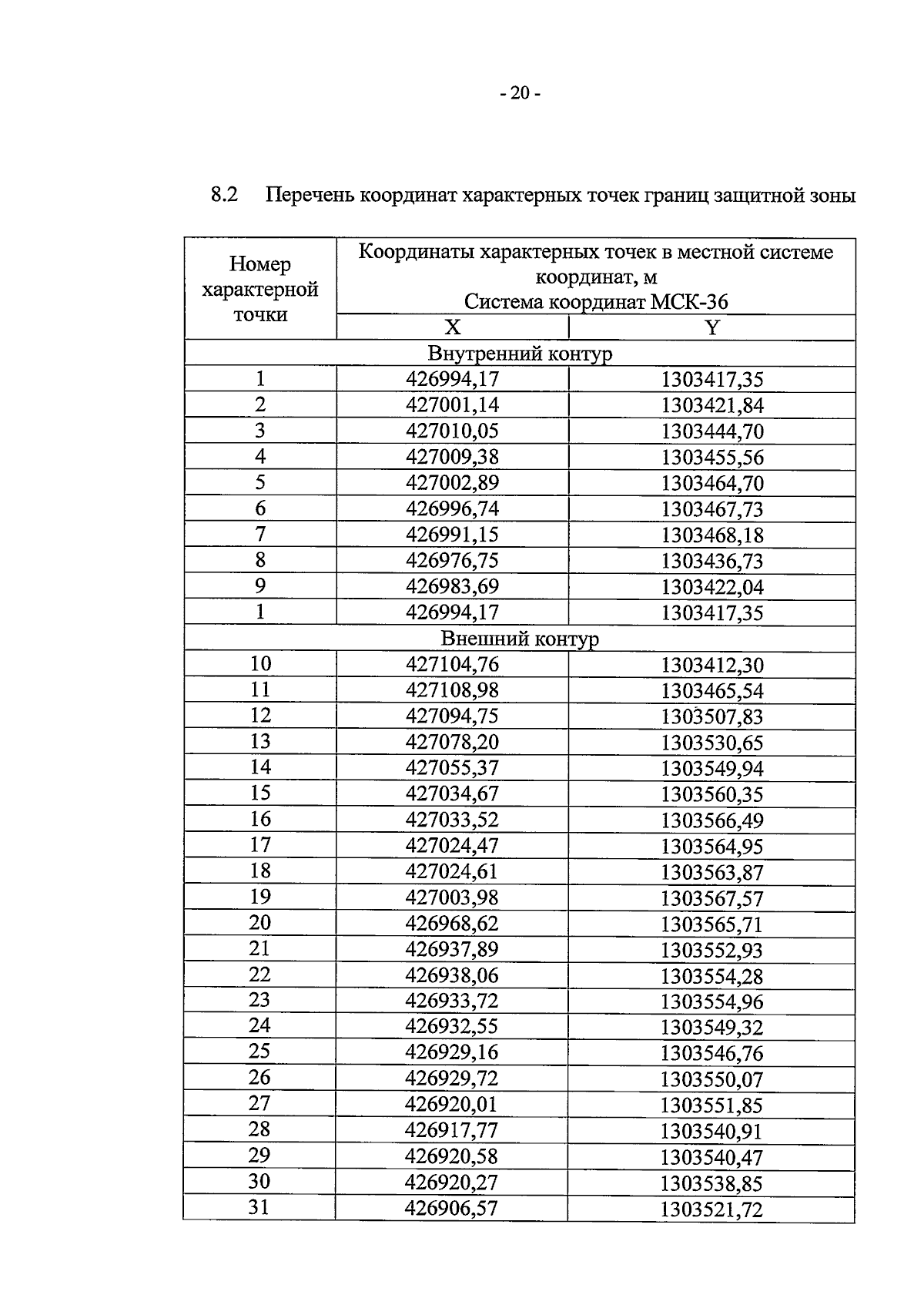
Приказ управления по охране объектов культурного наследия Воронежской области от 15.04.2025 № 71-01-05/65
"О внесении изменений в приказ управления по охране объектов культурного наследия Воронежской области от 14.11.2019 № 71-01-07/289"
(Зарегистрирован 23.04.2025 № 462)
Номер опубликования: 3601202504240011
Дата опубликования: 24.04.2025
Страница №20 из 50:
Увеличить