Официальное опубликование правовых актов
ОФИЦИАЛЬНОЕ ОПУБЛИКОВАНИЕ
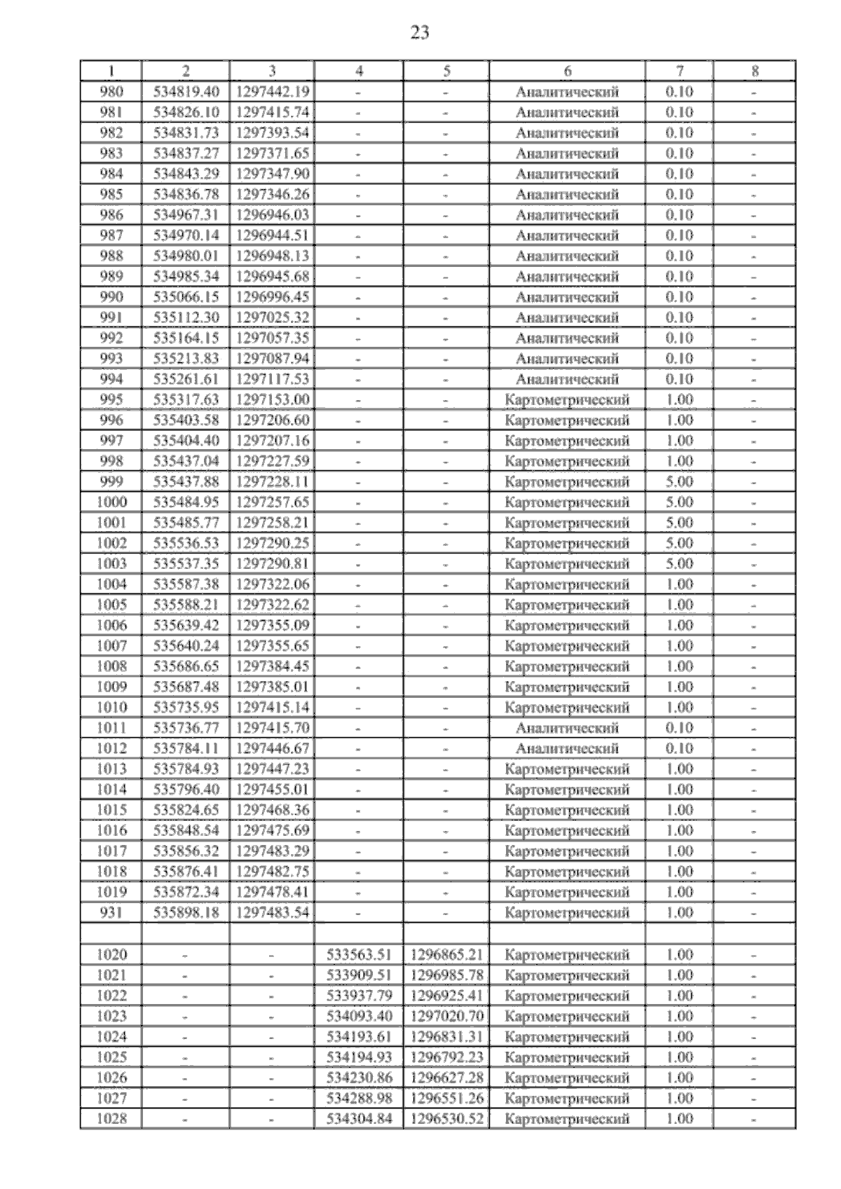
Приказ министерства архитектуры и градостроительства Воронежской области от 28.03.2025 № 45-01-04/184
"О внесении изменений в правила землепользования и застройки Новоживотинновского сельского поселения Рамонского муниципального района Воронежской области"
(Зарегистрирован 16.04.2025 № 430)
Номер опубликования: 3601202504210010
Дата опубликования: 21.04.2025
Страница №51 из 61:
Увеличить