Официальное опубликование правовых актов
ОФИЦИАЛЬНОЕ ОПУБЛИКОВАНИЕ
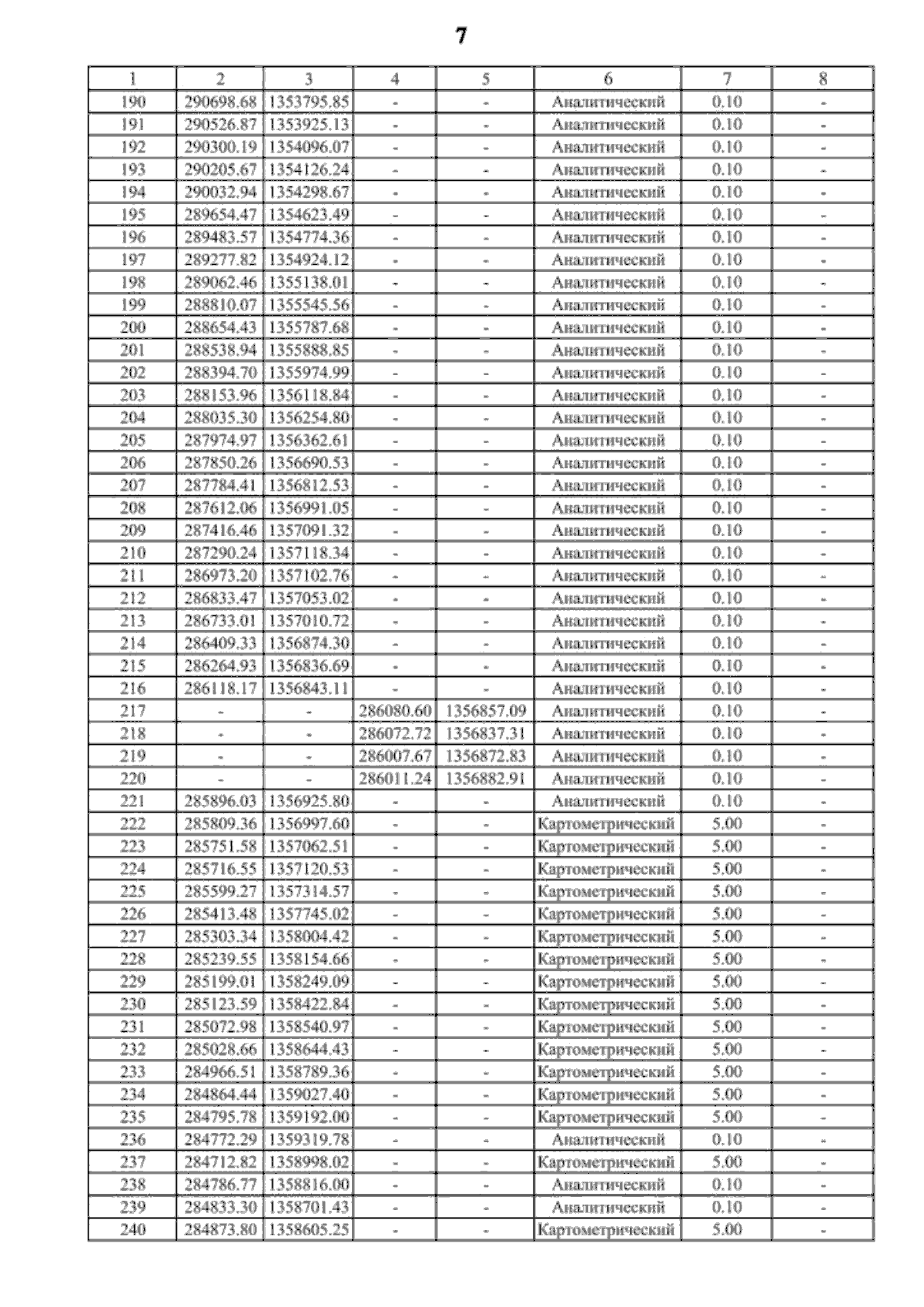
Приказ министерства архитектуры и градостроительства Воронежской области от 28.03.2025 № 45-01-04/180
"О внесении изменений в правила землепользования и застройки Кантемировского городского поселения Кантемировского муниципального района Воронежской области"
(Зарегистрирован 16.04.2025 № 426)
Номер опубликования: 3601202504210007
Дата опубликования: 21.04.2025
Страница №53 из 56:
Увеличить