Официальное опубликование правовых актов
ОФИЦИАЛЬНОЕ ОПУБЛИКОВАНИЕ
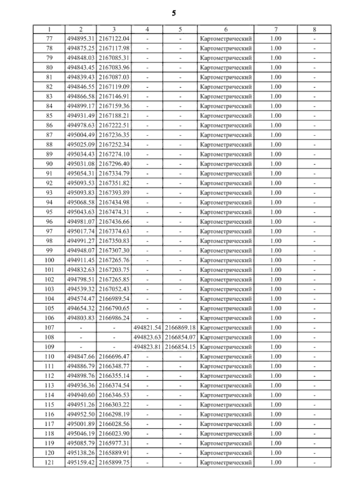
Приказ министерства архитектуры и градостроительства Воронежской области от 25.03.2025 № 45-01-04/139
"О внесении изменений в правила землепользования и застройки Васильевского сельского поселения Аннинского муниципального района Воронежской области"
(Зарегистрирован 11.04.2025 № 412)
Номер опубликования: 3601202504110008
Дата опубликования: 11.04.2025
Страница №11 из 12:
Увеличить