Официальное опубликование правовых актов
ОФИЦИАЛЬНОЕ ОПУБЛИКОВАНИЕ
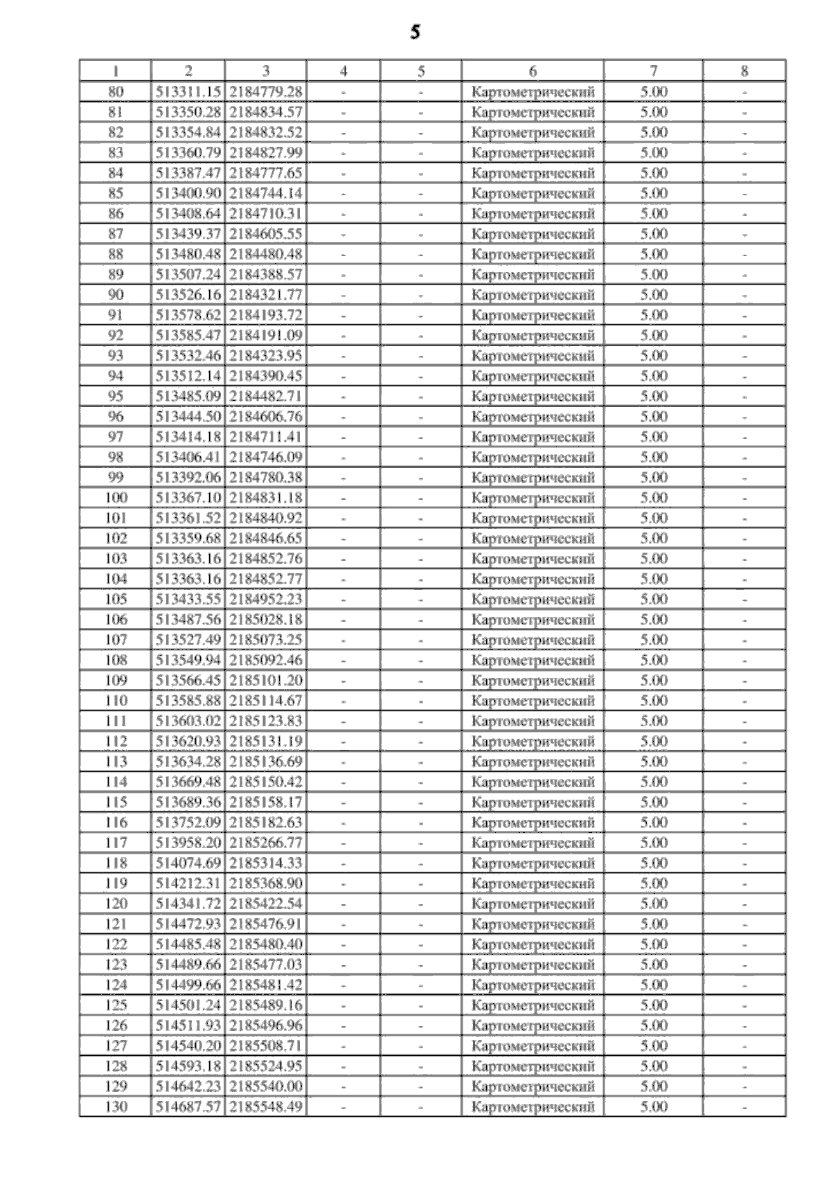
Приказ министерства архитектуры и градостроительства Воронежской области от 25.03.2025 № 45-01-04/145
"О внесении изменений в правила землепользования и застройки Борщево-Песковского сельского поселения Эртильского муниципального района Воронежской области"
(Зарегистрирован 09.04.2025 № 409)
Номер опубликования: 3601202504110007
Дата опубликования: 11.04.2025
Страница №55 из 61:
Увеличить