Официальное опубликование правовых актов
ОФИЦИАЛЬНОЕ ОПУБЛИКОВАНИЕ
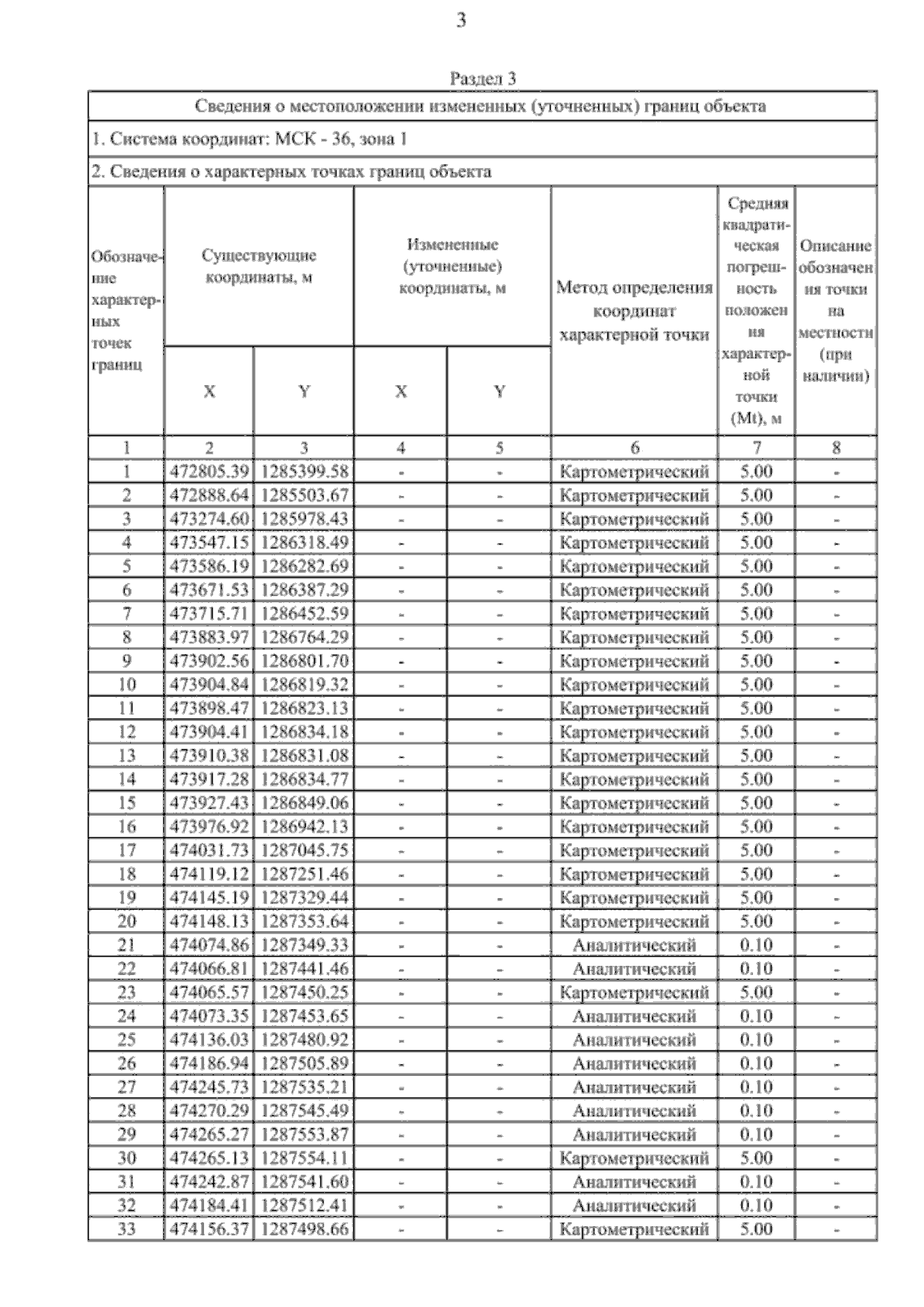
Приказ министерства архитектуры и градостроительства Воронежской области от 25.03.2025 № 45-01-04/144
"О внесении изменений в правила землепользования и застройки Яблоченского сельского поселения Хохольского муниципального района Воронежской области"
(Зарегистрирован 09.04.2025 № 408)
Номер опубликования: 3601202504110006
Дата опубликования: 11.04.2025
Страница №13 из 24:
Увеличить