Официальное опубликование правовых актов
ОФИЦИАЛЬНОЕ ОПУБЛИКОВАНИЕ
Приказ министерства архитектуры и градостроительства Воронежской области от 25.03.2025 № 45-01-04/142
"О внесении изменений в правила землепользования и застройки Скрипнянского сельского поселения Калачеевского муниципального района Воронежской области"
(Зарегистрирован 09.04.2025 № 406)
Номер опубликования: 3601202504110004
Дата опубликования: 11.04.2025
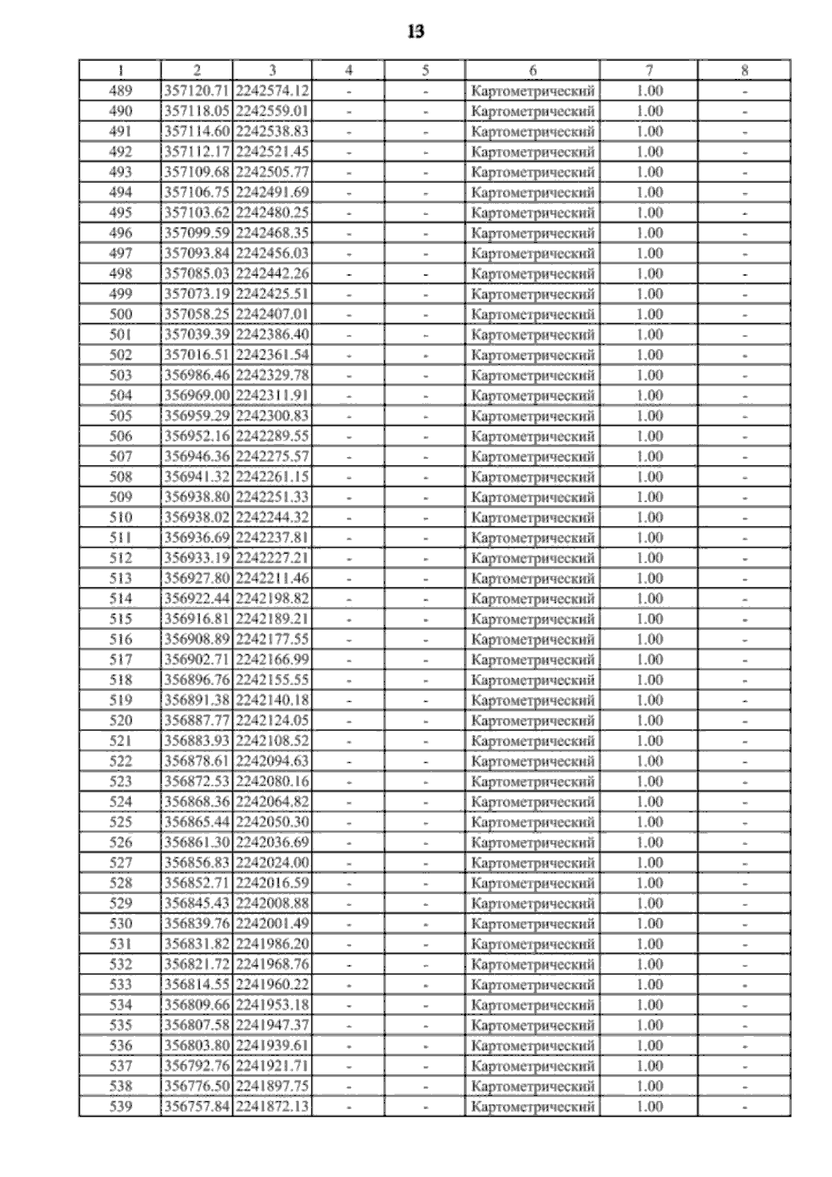
Страница №33 из 47:
Увеличить