Официальное опубликование правовых актов
ОФИЦИАЛЬНОЕ ОПУБЛИКОВАНИЕ
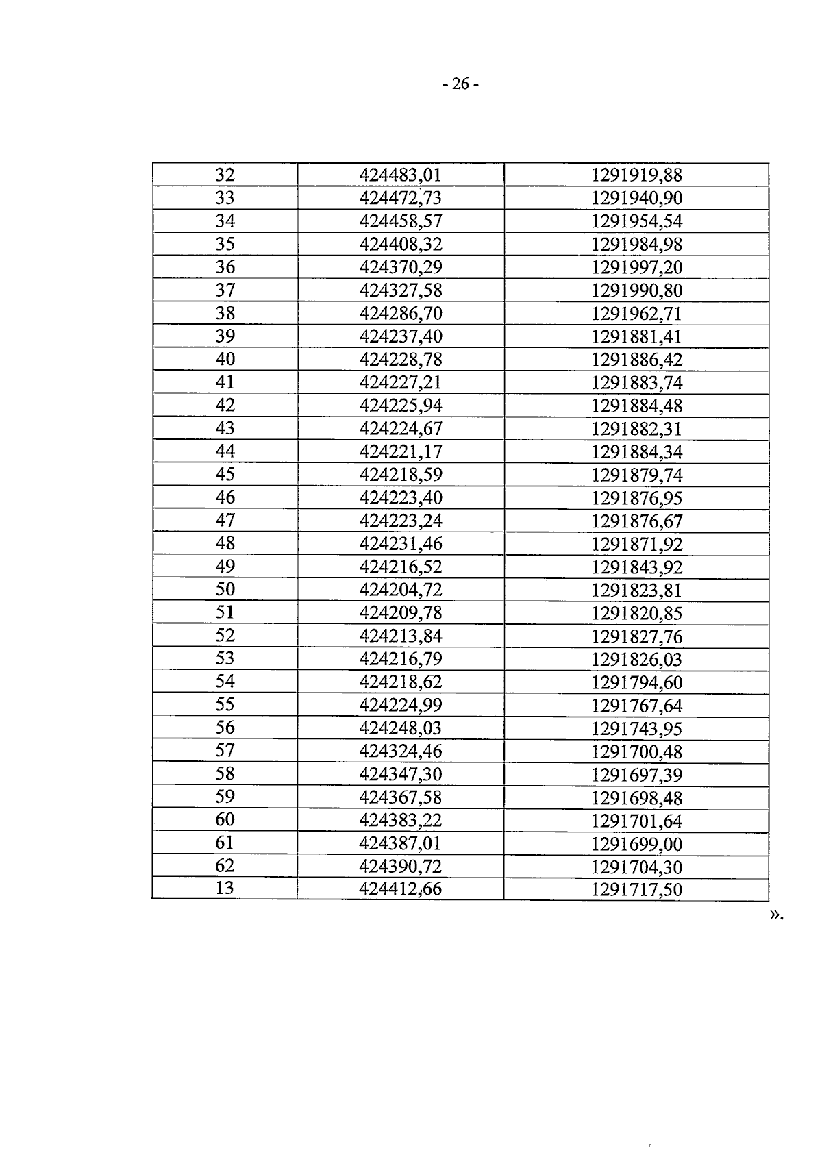
Приказ управления по охране объектов культурного наследия Воронежской области от 21.03.2025 № 71-01-05/57
"О внесении изменений в приказ управления по охране объектов культурного наследия Воронежской области от 04.12.2018 № 71-01-07/266"
(Зарегистрирован 08.04.2025 № 395)
Номер опубликования: 3601202504090014
Дата опубликования: 09.04.2025
Страница №26 из 48:
Увеличить