Официальное опубликование правовых актов
ОФИЦИАЛЬНОЕ ОПУБЛИКОВАНИЕ
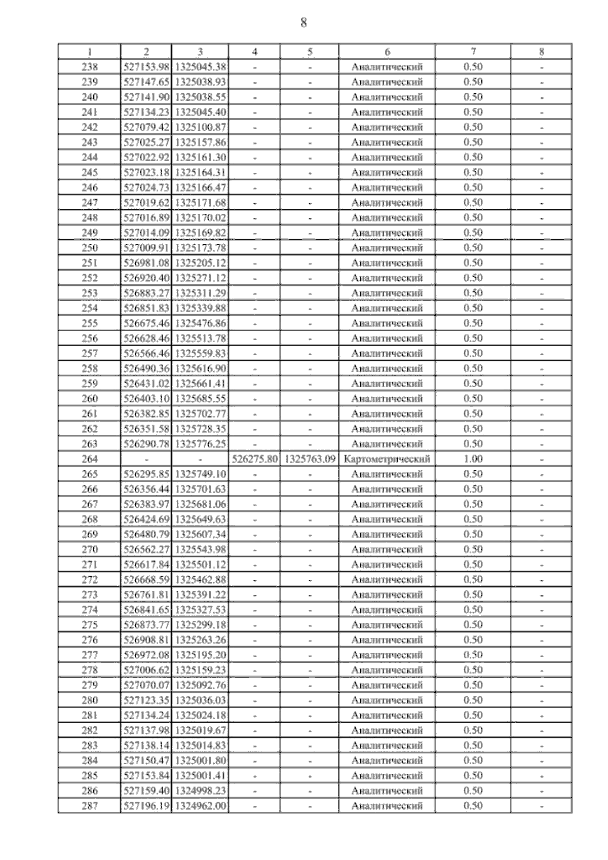
Приказ министерства архитектуры и градостроительства Воронежской области от 21.03.2025 № 45-01-04/136
"О внесении изменений в правила землепользования и застройки Парижскокоммунского сельского поселения Верхнехавского муниципального района Воронежской области"
(Зарегистрирован 07.04.2025 № 381)
Номер опубликования: 3601202504090011
Дата опубликования: 09.04.2025
Страница №12 из 13:
Увеличить