Официальное опубликование правовых актов
ОФИЦИАЛЬНОЕ ОПУБЛИКОВАНИЕ
Приказ министерства архитектуры и градостроительства Воронежской области от 24.03.2025 № 45-01-04/137
"О внесении изменений в правила землепользования и застройки Верхнемазовского сельского поселения Верхнехавского муниципального района Воронежской области"
(Зарегистрирован 08.04.2025 № 393)
Номер опубликования: 3601202504090010
Дата опубликования: 09.04.2025
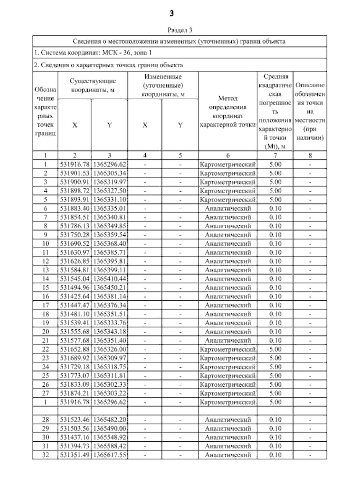
Страница №20 из 33:
Увеличить