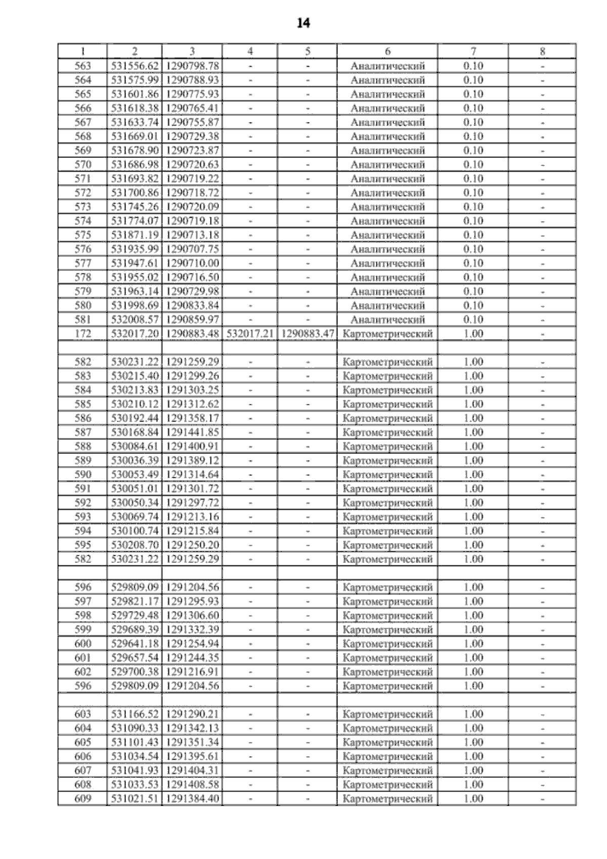
Приказ министерства архитектуры и градостроительства Воронежской области от 21.03.2025 № 45-01-04/135
"О внесении изменений в правила землепользования и застройки Русскогвоздёвского сельского поселения Рамонского муниципального района Воронежской области"
(Зарегистрирован 07.04.2025 № 380)
"О внесении изменений в правила землепользования и застройки Русскогвоздёвского сельского поселения Рамонского муниципального района Воронежской области"
(Зарегистрирован 07.04.2025 № 380)
Номер опубликования: 3601202504090009
Дата опубликования:
09.04.2025
