Официальное опубликование правовых актов
ОФИЦИАЛЬНОЕ ОПУБЛИКОВАНИЕ
Приказ министерства архитектуры и градостроительства Воронежской области от 24.03.2025 № 45-01-04/138
"О внесении изменений в правила землепользования и застройки Киселинского сельского поселения Терновского муниципального района Воронежской области"
(Зарегистрирован 08.04.2025 № 394)
Номер опубликования: 3601202504090007
Дата опубликования: 09.04.2025
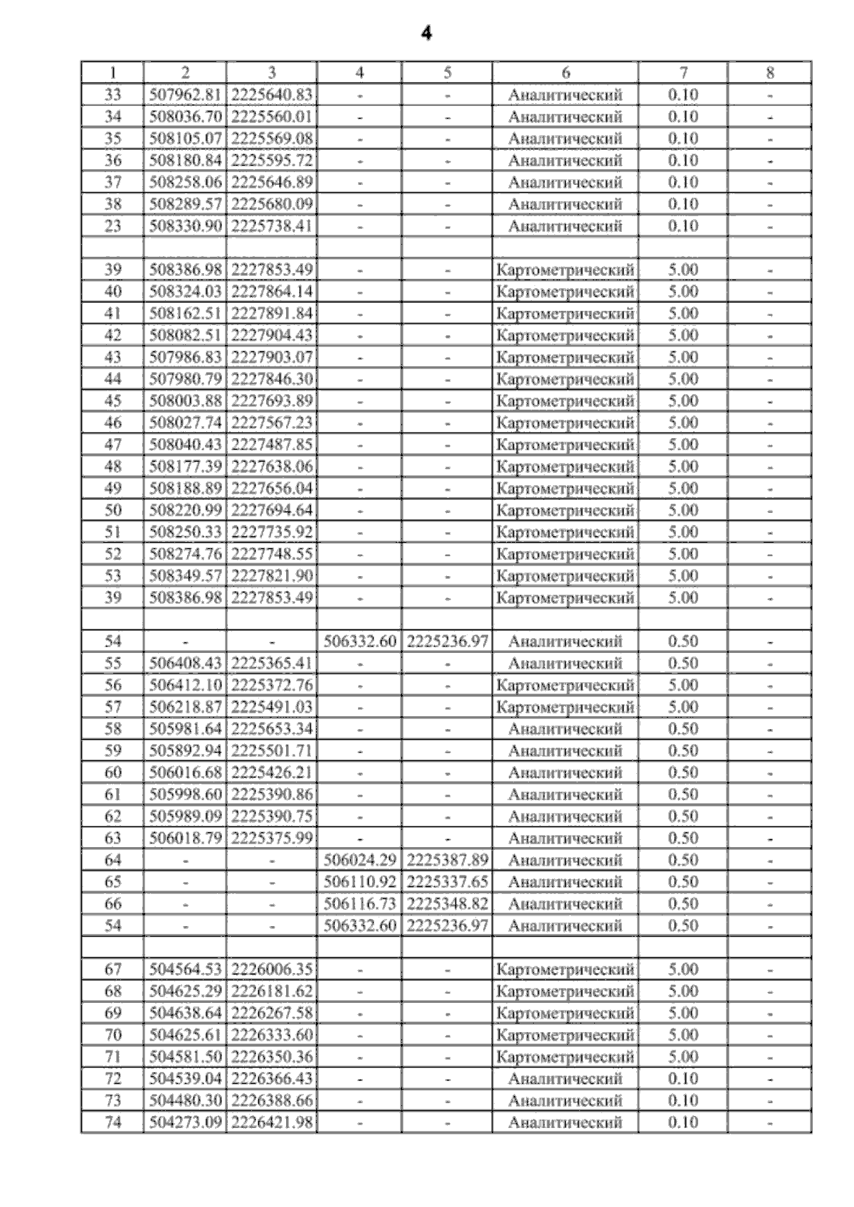
Страница №46 из 47:
Увеличить