Официальное опубликование правовых актов
ОФИЦИАЛЬНОЕ ОПУБЛИКОВАНИЕ
Приказ министерства архитектуры и градостроительства Воронежской области от 20.03.2025 № 45-01-04/134
"О внесении изменений в правила землепользования и застройки Усманского 1-го сельского поселения Новоусманского муниципального района Воронежской области"
(Зарегистрирован 07.04.2025 № 379)
Номер опубликования: 3601202504090006
Дата опубликования: 09.04.2025
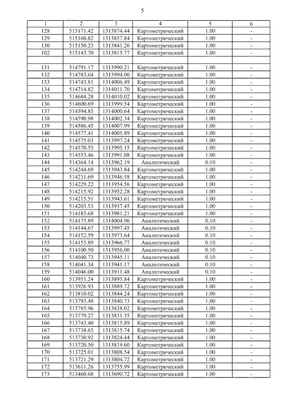
Страница №18 из 403:
Увеличить