Официальное опубликование правовых актов
ОФИЦИАЛЬНОЕ ОПУБЛИКОВАНИЕ
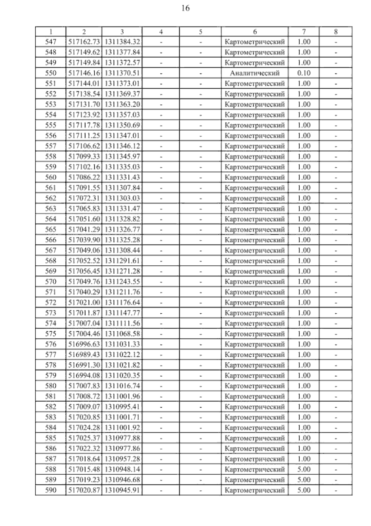
Приказ министерства архитектуры и градостроительства Воронежской области от 17.03.2025 № 45-01-04/127
"О внесении изменений в правила землепользования и застройки Бабяковского сельского поселения Новоусманского муниципального района Воронежской области"
(Зарегистрирован 02.04.2025 № 365)
Номер опубликования: 3601202504040012
Дата опубликования: 04.04.2025
Страница №22 из 48:
Увеличить