Официальное опубликование правовых актов
ОФИЦИАЛЬНОЕ ОПУБЛИКОВАНИЕ
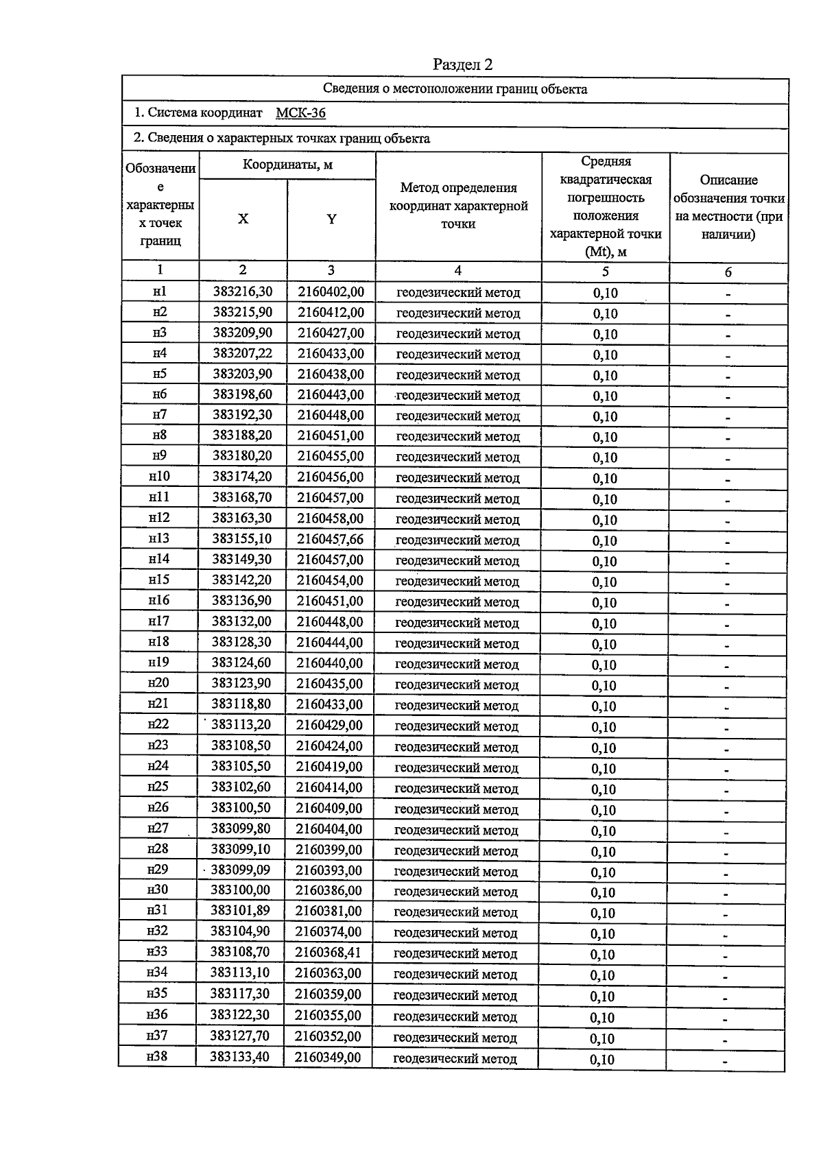
Приказ министерства природных ресурсов и экологии Воронежской области от 10.03.2025 № 107
"Об установлении зон санитарной охраны двух существующих скважин № 1, № 2 для питьевого, хозяйственно-бытового и технологического водоснабжения АО "ПАВЛОВСКАГРОПРОДУКТ"
(Зарегистрирован 21.03.2025 № 324)
Номер опубликования: 3601202503250009
Дата опубликования: 25.03.2025
Страница №13 из 19:
Увеличить