Официальное опубликование правовых актов
ОФИЦИАЛЬНОЕ ОПУБЛИКОВАНИЕ
Приказ министерства архитектуры и градостроительства Воронежской области от 04.03.2025 № 45-01-04/85
"О внесении изменений в правила землепользования и застройки Ольшанского сельского поселения Острогожского муниципального района Воронежской области"
(Зарегистрирован 21.03.2025 № 309)
Номер опубликования: 3601202503240028
Дата опубликования: 24.03.2025
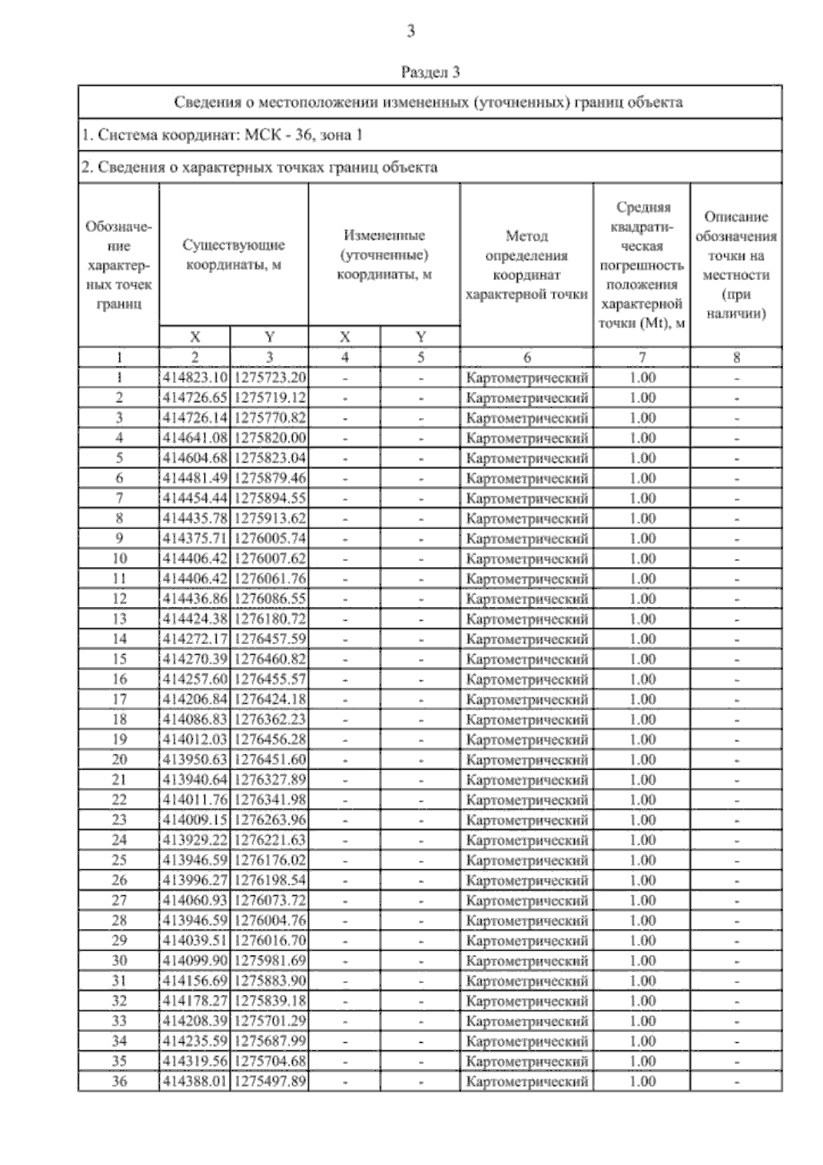
Страница №27 из 47:
Увеличить