Официальное опубликование правовых актов
ОФИЦИАЛЬНОЕ ОПУБЛИКОВАНИЕ
Приказ министерства архитектуры и градостроительства Воронежской области от 05.03.2025 № 45-01-04/91
"О внесении изменений в правила землепользования и застройки Сомовского сельского поселения Рамонского муниципального района Воронежской области"
(Зарегистрирован 21.03.2025 № 322)
Номер опубликования: 3601202503240025
Дата опубликования: 24.03.2025
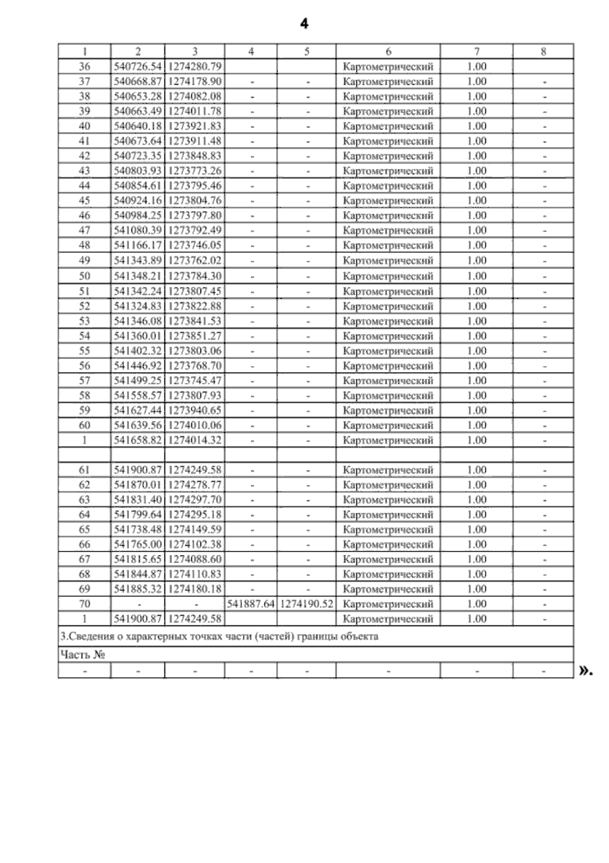
Страница №11 из 11:
Увеличить