Официальное опубликование правовых актов
ОФИЦИАЛЬНОЕ ОПУБЛИКОВАНИЕ
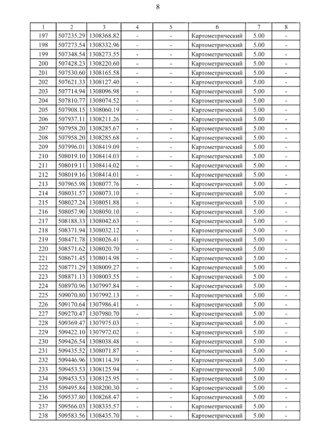
Приказ министерства архитектуры и градостроительства Воронежской области от 04.03.2025 № 45-01-04/84
"О внесении изменений в правила землепользования и застройки Отрадненского сельского поселения Новоусманского муниципального района Воронежской области"
(Зарегистрирован 21.03.2025 № 308)
Номер опубликования: 3601202503240023
Дата опубликования: 24.03.2025
Страница №41 из 53:
Увеличить