Официальное опубликование правовых актов
ОФИЦИАЛЬНОЕ ОПУБЛИКОВАНИЕ
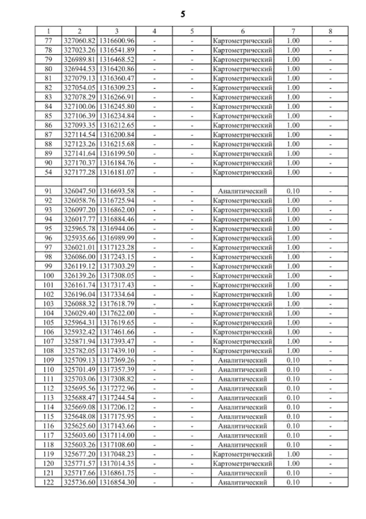
Приказ министерства архитектуры и градостроительства Воронежской области от 04.03.2025 № 45-01-04/86
"О внесении изменений в правила землепользования и застройки Александровского сельского поселения Россошанского муниципального района Воронежской области"
(Зарегистрирован 21.03.2025 № 319)
Номер опубликования: 3601202503240020
Дата опубликования: 24.03.2025
Страница №16 из 17:
Увеличить