Официальное опубликование правовых актов
ОФИЦИАЛЬНОЕ ОПУБЛИКОВАНИЕ
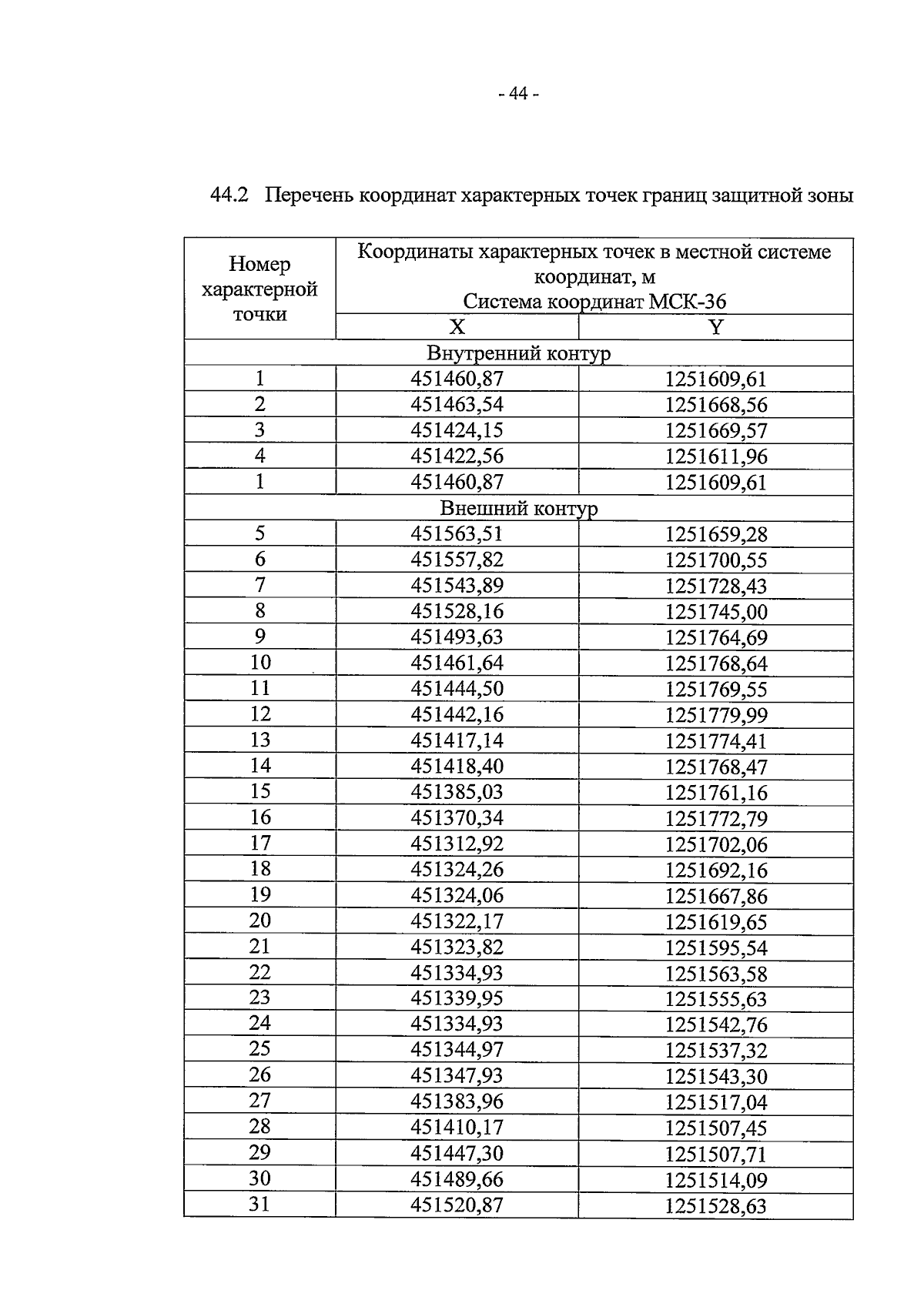
Приказ управления по охране объектов культурного наследия Воронежской области от 27.02.2025 № 71-01-05/46
"О внесении изменений в приказ управления по охране объектов культурного наследия Воронежской области от 19.11.2019 № 71-01-07/296"
(Зарегистрирован 21.03.2025 № 310)
Номер опубликования: 3601202503210016
Дата опубликования: 21.03.2025
Страница №44 из 51:
Увеличить