Официальное опубликование правовых актов
ОФИЦИАЛЬНОЕ ОПУБЛИКОВАНИЕ
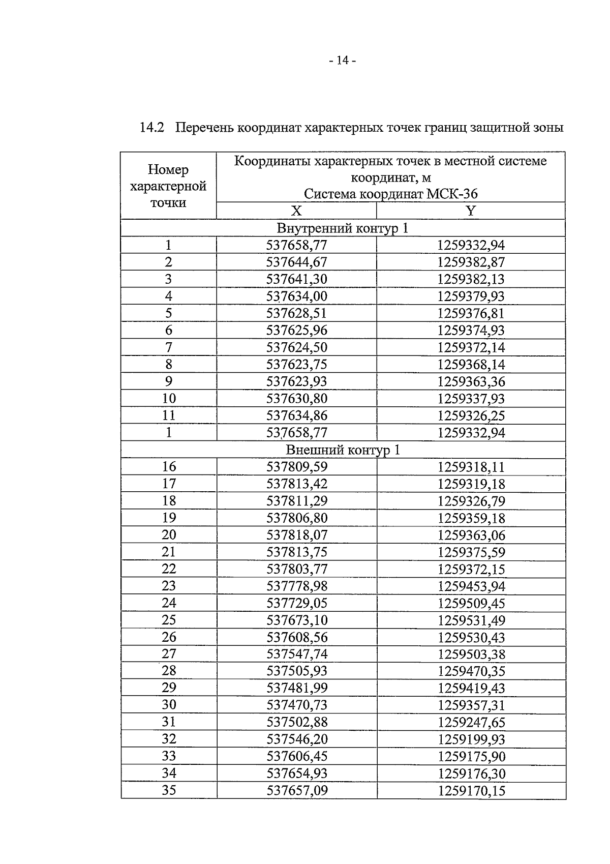
Приказ управления по охране объектов культурного наследия Воронежской области от 25.02.2025 № 71-01-05/44
"О внесении изменений в приказ управления по охране объектов культурного наследия Воронежской области от 19.11.2019 № 71-01-07/298"
(Зарегистрирован 18.03.2025 № 264)
Номер опубликования: 3601202503190014
Дата опубликования: 19.03.2025
Страница №14 из 62:
Увеличить