Официальное опубликование правовых актов
ОФИЦИАЛЬНОЕ ОПУБЛИКОВАНИЕ
Приказ министерства природных ресурсов и экологии Воронежской области от 26.02.2025 № 89
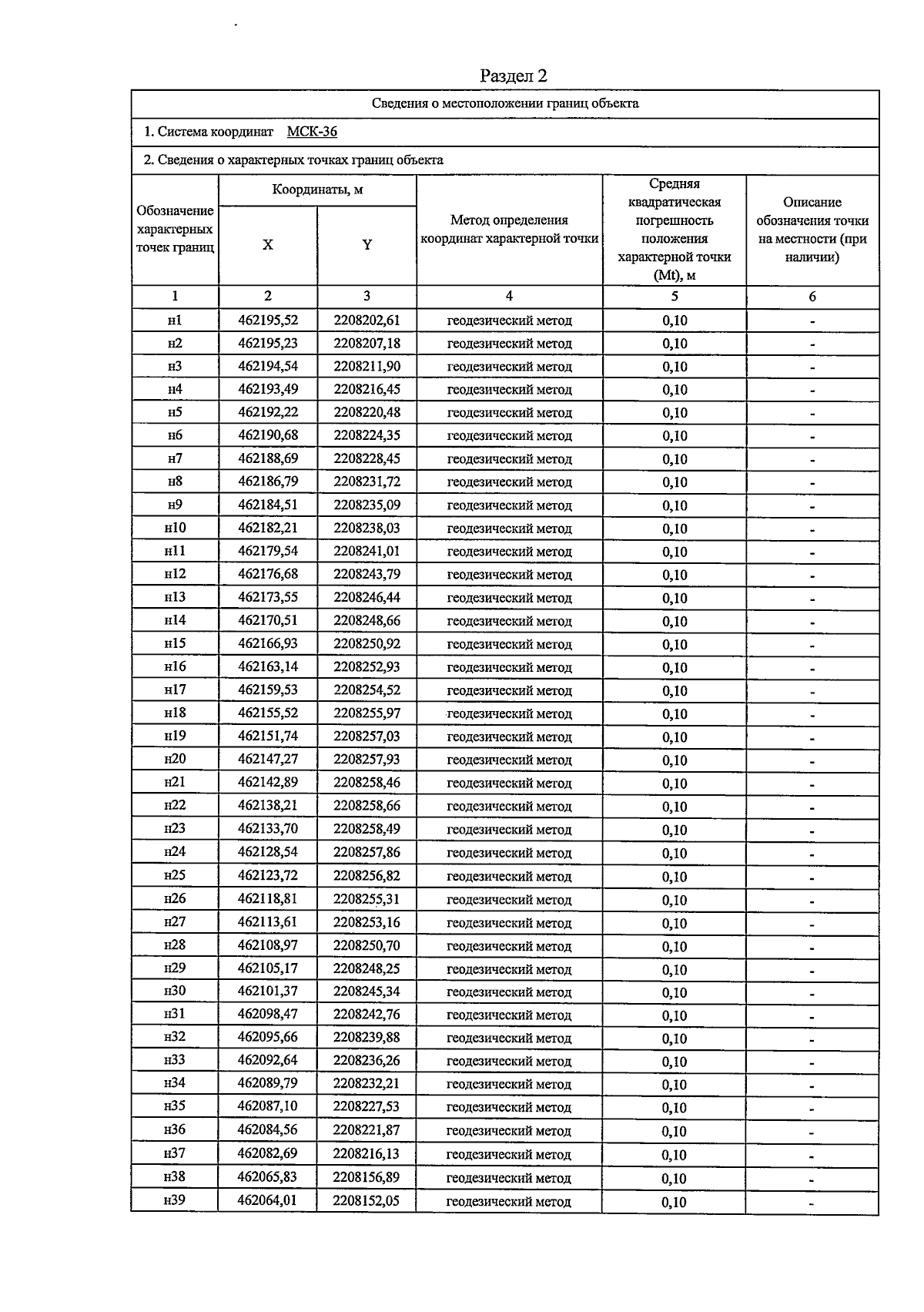
"Об установлении зон санитарной охраны водозабора в составе двух существующих скважин и водопроводных сооружений для питьевого, хозяйственно-бытового водоснабжения населения и объектов соцкультбыта Муниципального унитарного предприятия Таловского городского поселения Таловского муниципального района Воронежской области "Вымпел"
(Зарегистрирован 10.03.2025 № 199)
Номер опубликования: 3601202503140013
Дата опубликования: 14.03.2025
Страница №13 из 21:
Увеличить