Официальное опубликование правовых актов
ОФИЦИАЛЬНОЕ ОПУБЛИКОВАНИЕ
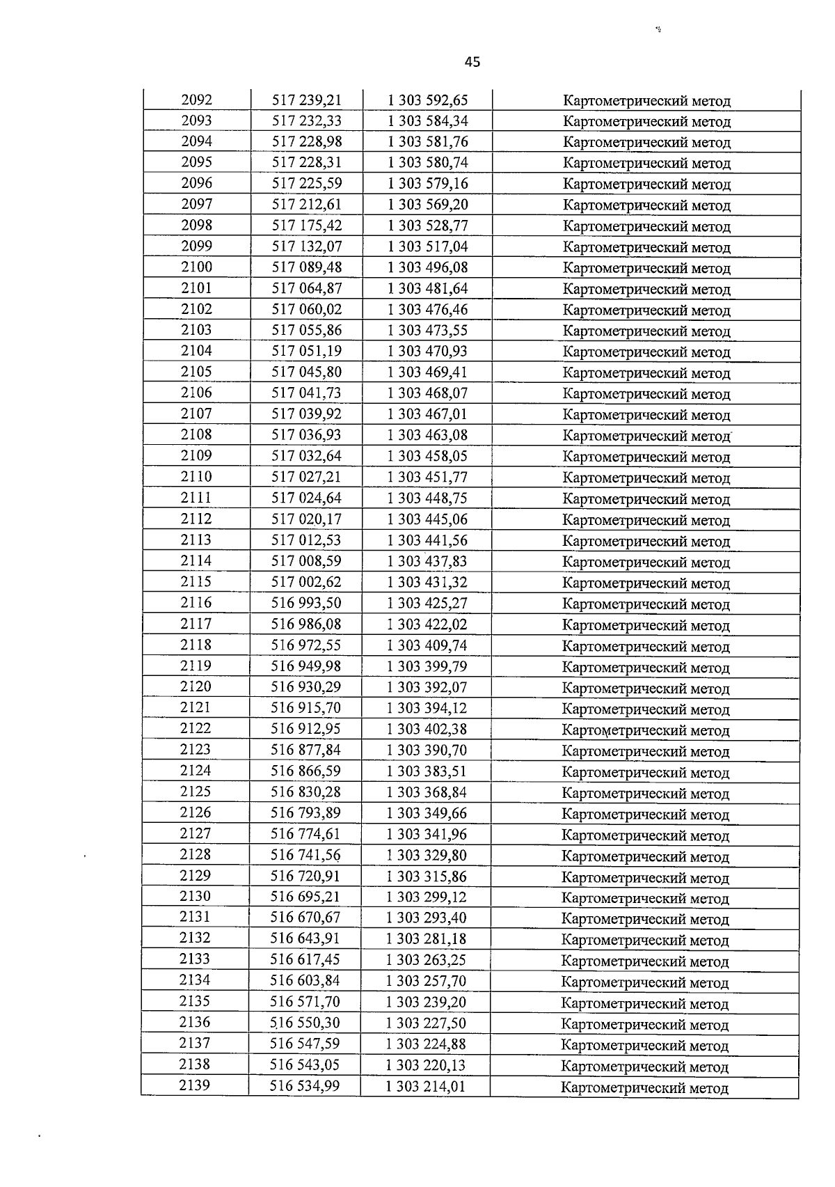
Приказ министерства природных ресурсов и экологии Воронежской области от 21.02.2025 № 86
"Об уточнении местоположения береговой линии (границы водного объекта) Воронежского водохранилища"
(Зарегистрирован 11.03.2025 № 201)
Номер опубликования: 3601202503140001
Дата опубликования: 14.03.2025
Страница №47 из 320:
Увеличить