Официальное опубликование правовых актов
ОФИЦИАЛЬНОЕ ОПУБЛИКОВАНИЕ
Приказ министерства архитектуры и градостроительства Воронежской области от 20.02.2025 № 45-01-04/63
"О внесении изменений в правила землепользования и застройки Малогрибановского сельского поселения Грибановского муниципального района Воронежской области"
(Зарегистрирован 10.03.2025 № 188)
Номер опубликования: 3601202503120003
Дата опубликования: 12.03.2025
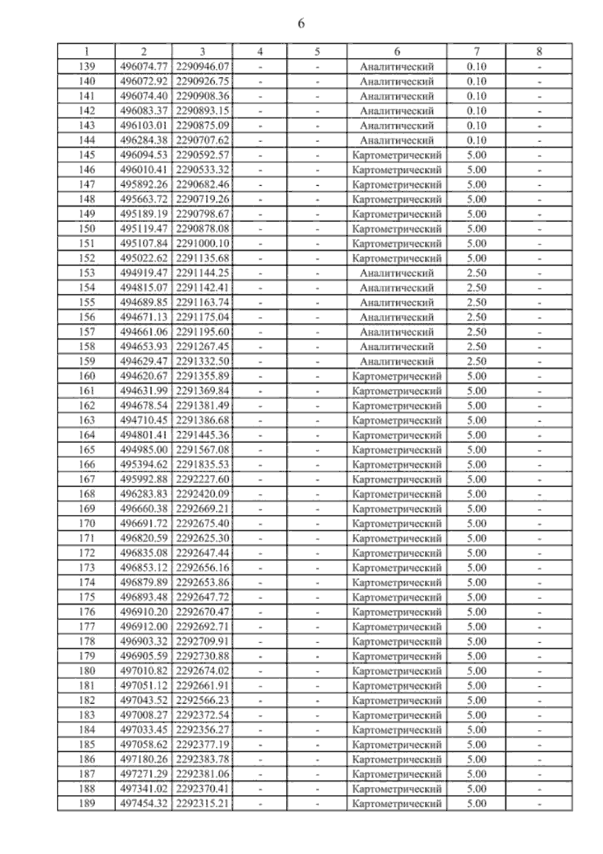
Страница №15 из 43:
Увеличить