Официальное опубликование правовых актов
ОФИЦИАЛЬНОЕ ОПУБЛИКОВАНИЕ
Приказ министерства природных ресурсов и экологии Воронежской области от 12.02.2025 № 69
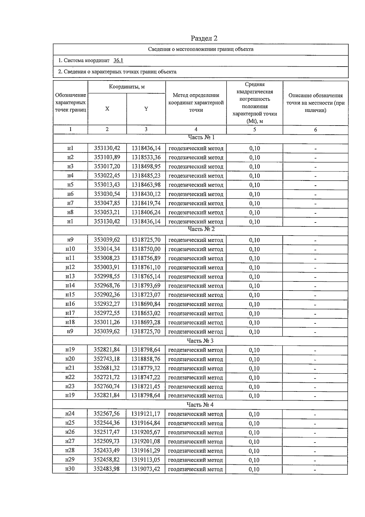
"Об установлении зон санитарной охраны восемнадцати существующих скважин и водопроводных сооружений водозабора "Западно-Россошанский" для питьевого, хозяйственно-бытового водоснабжения населения, организаций и объектов соцкультбыта ООО "Россошанские Коммунальные Системы"
(Зарегистрирован 04.03.2025 № 147)
Номер опубликования: 3601202503070011
Дата опубликования: 07.03.2025
Страница №11 из 35:
Увеличить