Официальное опубликование правовых актов
ОФИЦИАЛЬНОЕ ОПУБЛИКОВАНИЕ
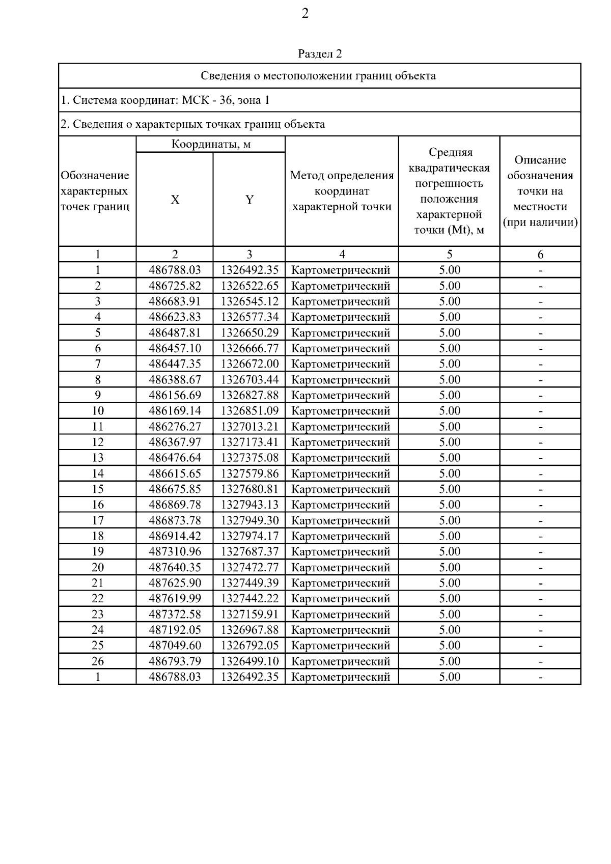
Приказ министерства архитектуры и градостроительства Воронежской области от 13.02.2025 № 45-01-04/53
"О внесении изменений в правила землепользования и застройки Каширского сельского поселения Каширского муниципального района Воронежской области"
(Зарегистрирован 05.03.2025 № 171)
Номер опубликования: 3601202503060011
Дата опубликования: 06.03.2025
Страница №9 из 14:
Увеличить