Официальное опубликование правовых актов
ОФИЦИАЛЬНОЕ ОПУБЛИКОВАНИЕ
Приказ министерства архитектуры и градостроительства Воронежской области от 21.02.2025 № 45-01-04/69
"О внесении изменений в правила землепользования и застройки городского поселения – город Лиски Лискинского муниципального района Воронежской области"
(Зарегистрирован 05.03.2025 № 173)
Номер опубликования: 3601202503060010
Дата опубликования: 06.03.2025
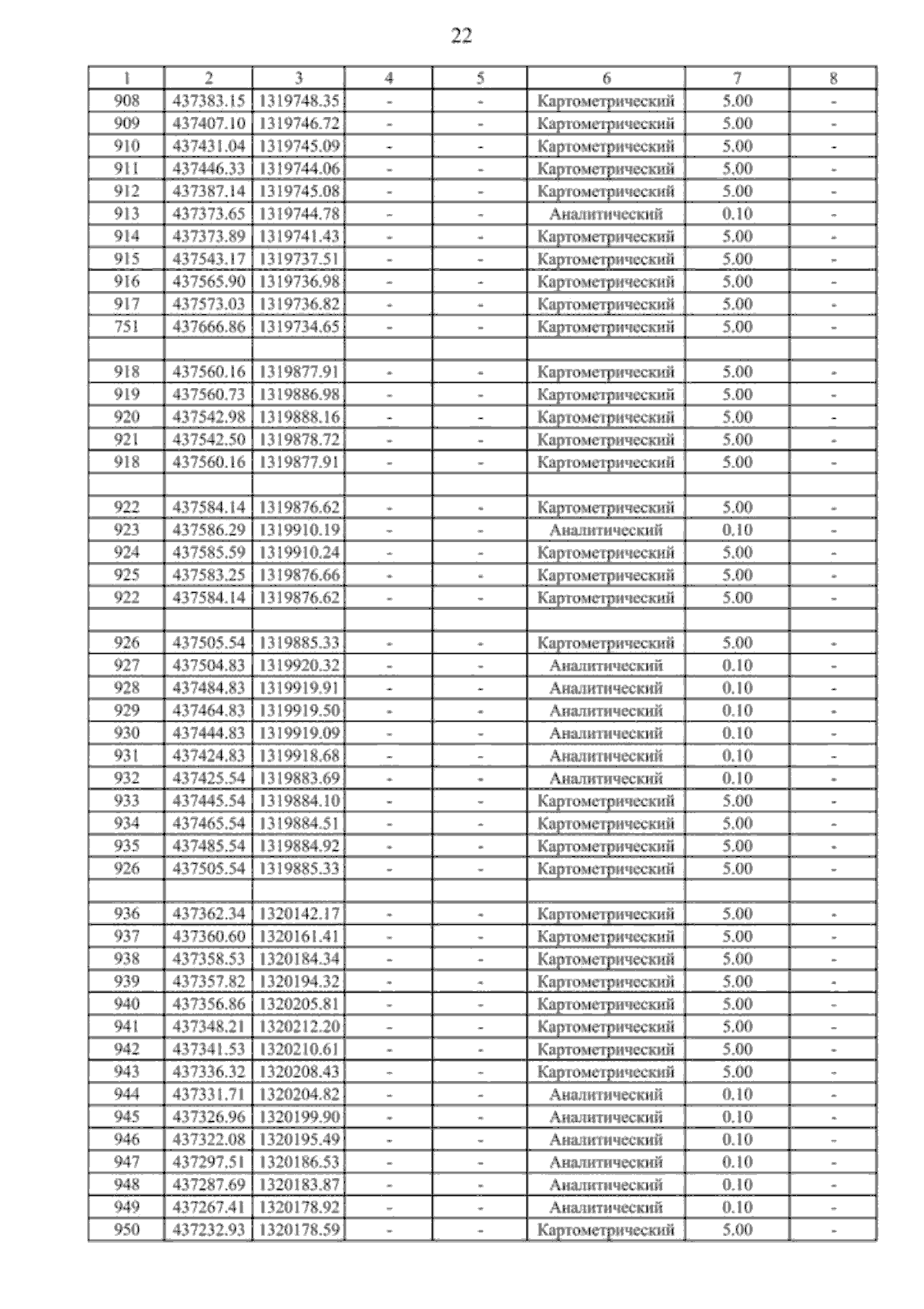
Страница №30 из 297:
Увеличить