Официальное опубликование правовых актов
ОФИЦИАЛЬНОЕ ОПУБЛИКОВАНИЕ
Приказ министерства архитектуры и градостроительства Воронежской области от 13.02.2025 № 45-01-04/54
"О внесении изменений в правила землепользования и застройки Кучеряевского сельского поселения Бутурлиновского муниципального района Воронежской области"
(Зарегистрирован 05.03.2025 № 172)
Номер опубликования: 3601202503060009
Дата опубликования: 06.03.2025
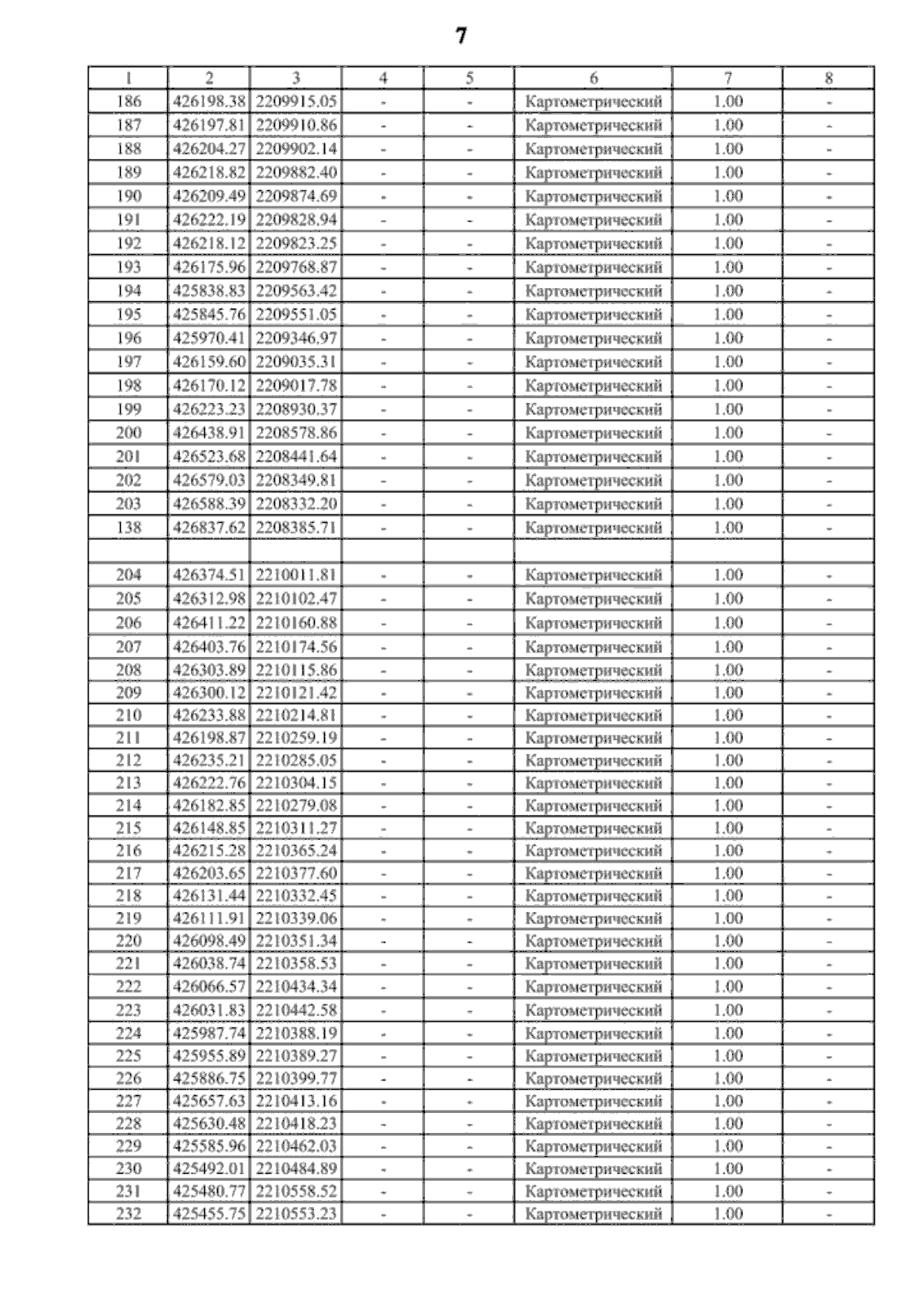
Страница №16 из 38:
Увеличить