Официальное опубликование правовых актов
ОФИЦИАЛЬНОЕ ОПУБЛИКОВАНИЕ
Приказ министерства архитектуры и градостроительства Воронежской области от 11.02.2025 № 45-01-04/39
"О внесении изменений в правила землепользования и застройки Новокалитвенского сельского поселения Россошанского муниципального района Воронежской области"
(Зарегистрирован 27.02.2025 № 141)
Номер опубликования: 3601202503030006
Дата опубликования: 03.03.2025
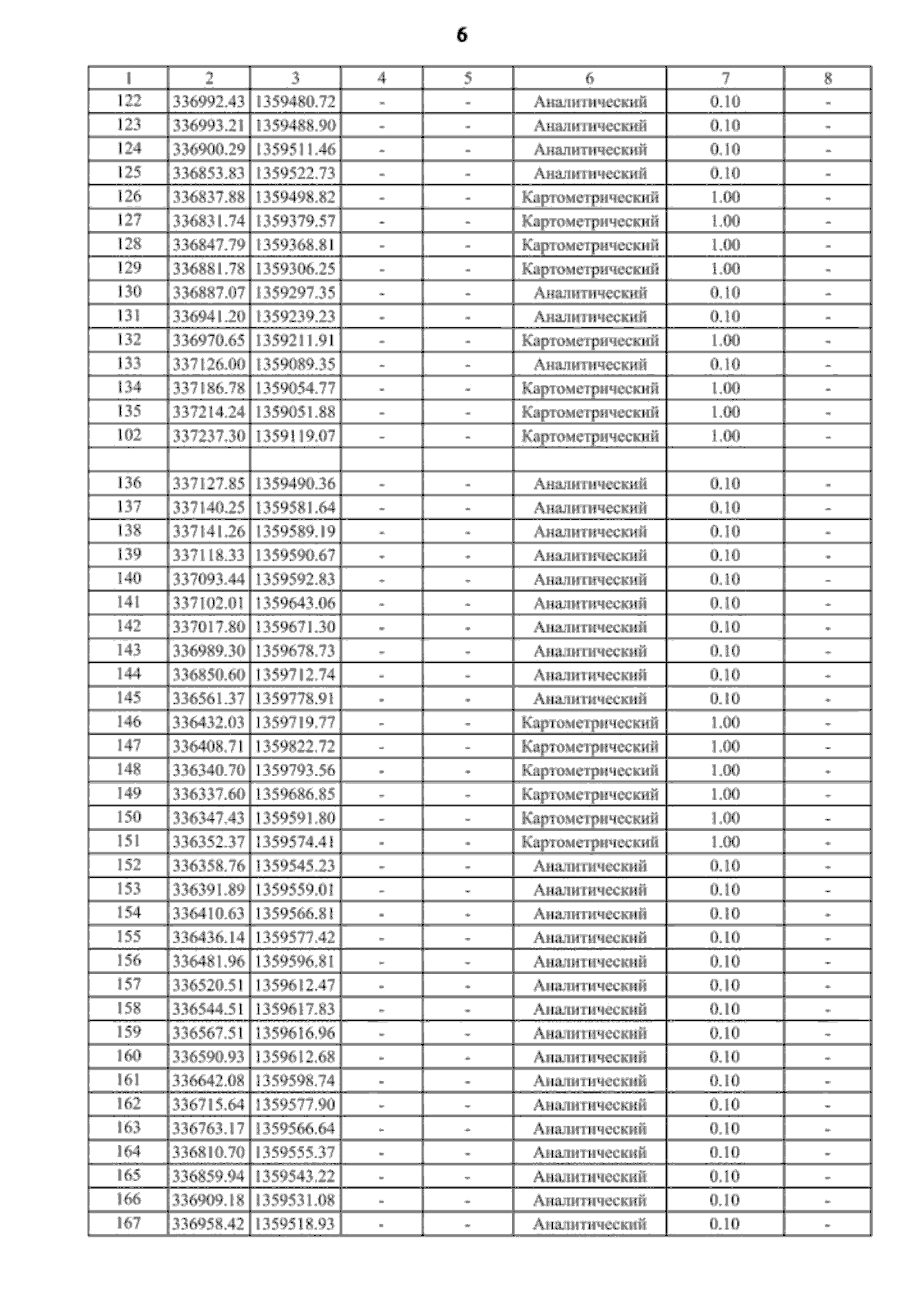
Страница №44 из 103:
Увеличить