Официальное опубликование правовых актов
ОФИЦИАЛЬНОЕ ОПУБЛИКОВАНИЕ
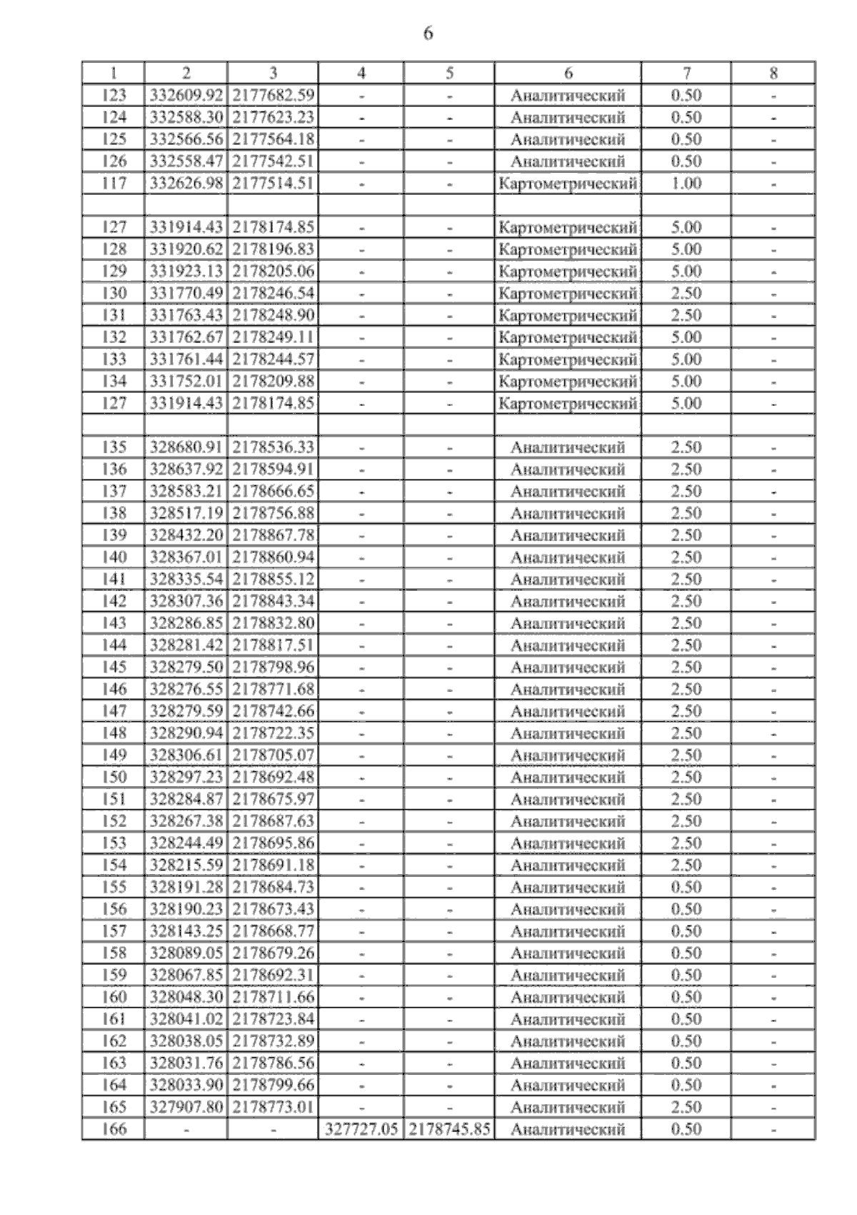
Приказ министерства архитектуры и градостроительства Воронежской области от 11.02.2025 № 45-01-04/38
"О внесении изменений в правила землепользования и застройки Филоновского сельского поселения Богучарского муниципального района Воронежской области"
(Зарегистрирован 27.02.2025 № 140)
Номер опубликования: 3601202503030005
Дата опубликования: 03.03.2025
Страница №32 из 52:
Увеличить