Официальное опубликование правовых актов
ОФИЦИАЛЬНОЕ ОПУБЛИКОВАНИЕ
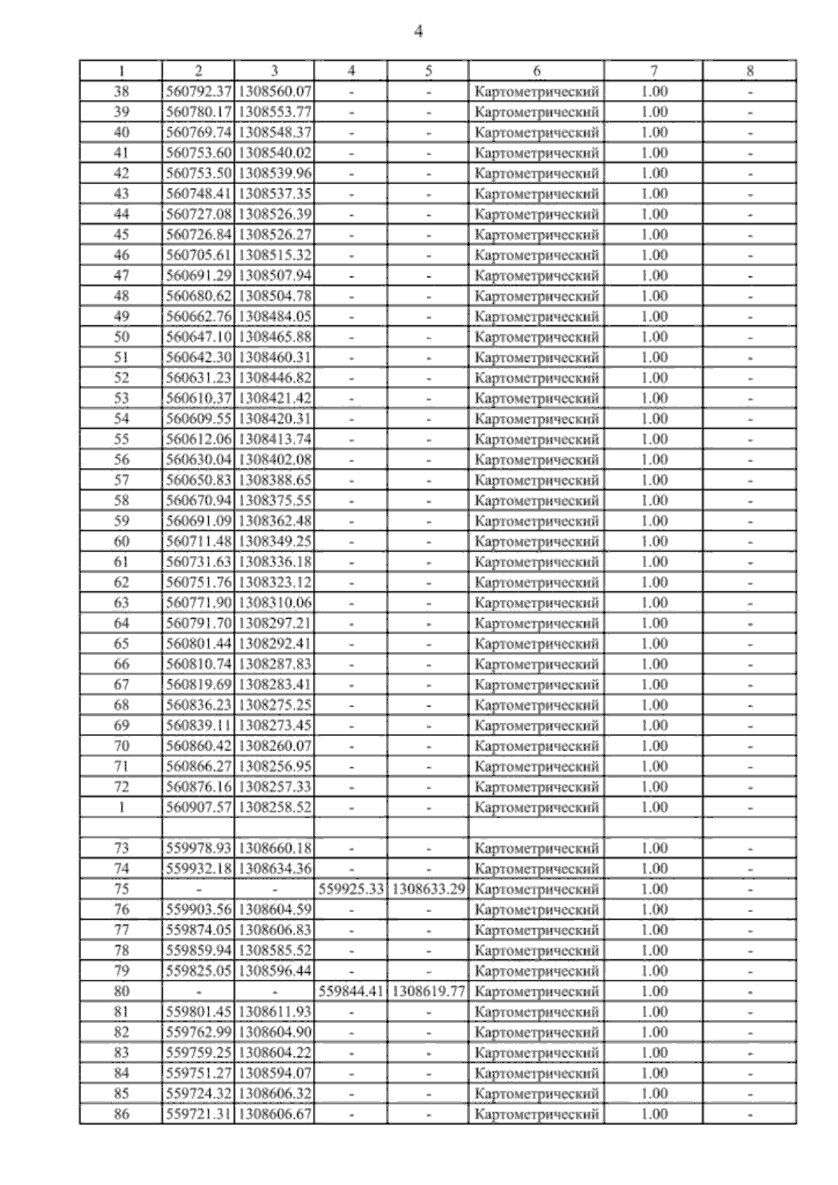
Приказ министерства архитектуры и градостроительства Воронежской области от 22.01.2025 № 45-01-04/17
"О внесении изменений в правила землепользования и застройки Карачунского сельского поселения Рамонского муниципального района Воронежской области"
(Зарегистрирован 03.02.2025 № 38)
Номер опубликования: 3601202502040009
Дата опубликования: 04.02.2025
Страница №60 из 72:
Увеличить