Официальное опубликование правовых актов
ОФИЦИАЛЬНОЕ ОПУБЛИКОВАНИЕ
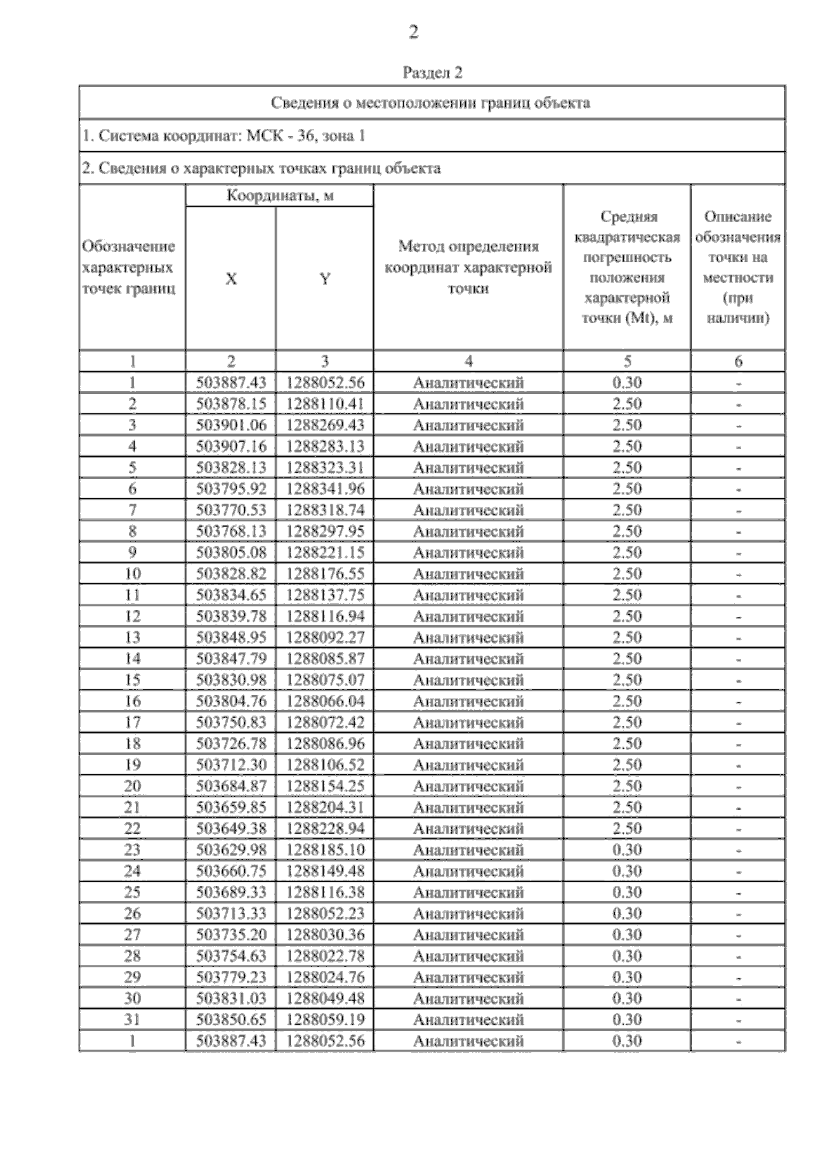
Приказ министерства архитектуры и градостроительства Воронежской области от 23.01.2025 № 45-01-04/19
"О внесении изменений в правила землепользования и застройки Новогремяченского сельского поселения Хохольского муниципального района Воронежской области"
(Зарегистрирован 03.02.2025 № 36)
Номер опубликования: 3601202502040006
Дата опубликования: 04.02.2025
Страница №29 из 31:
Увеличить