Официальное опубликование правовых актов
ОФИЦИАЛЬНОЕ ОПУБЛИКОВАНИЕ
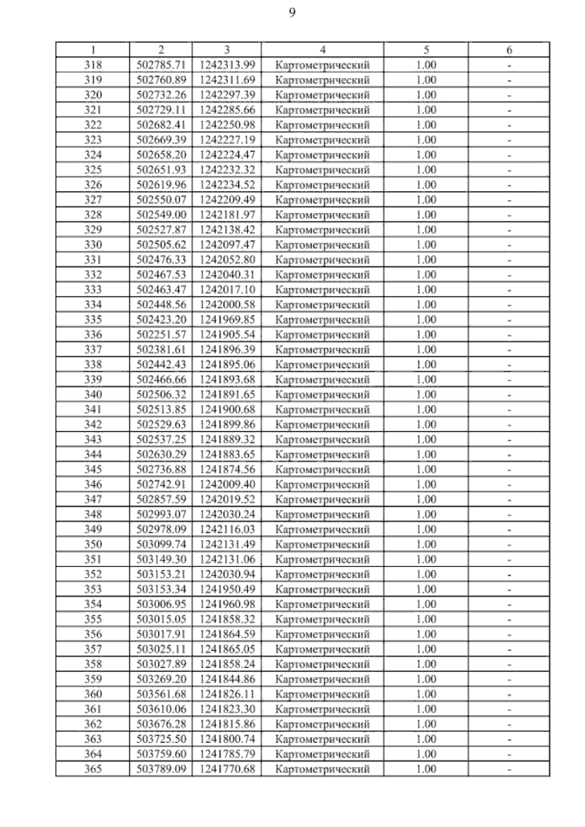
Приказ министерства архитектуры и градостроительства Воронежской области от 24.01.2025 № 45-01-04/22
"О внесении изменений в правила землепользования и застройки Нижнедевицкого сельского поселения Нижнедевицкого муниципального района Воронежской области"
(Зарегистрирован 03.02.2025 № 39)
Номер опубликования: 3601202502040005
Дата опубликования: 04.02.2025
Страница №126 из 136:
Увеличить