Официальное опубликование правовых актов
ОФИЦИАЛЬНОЕ ОПУБЛИКОВАНИЕ
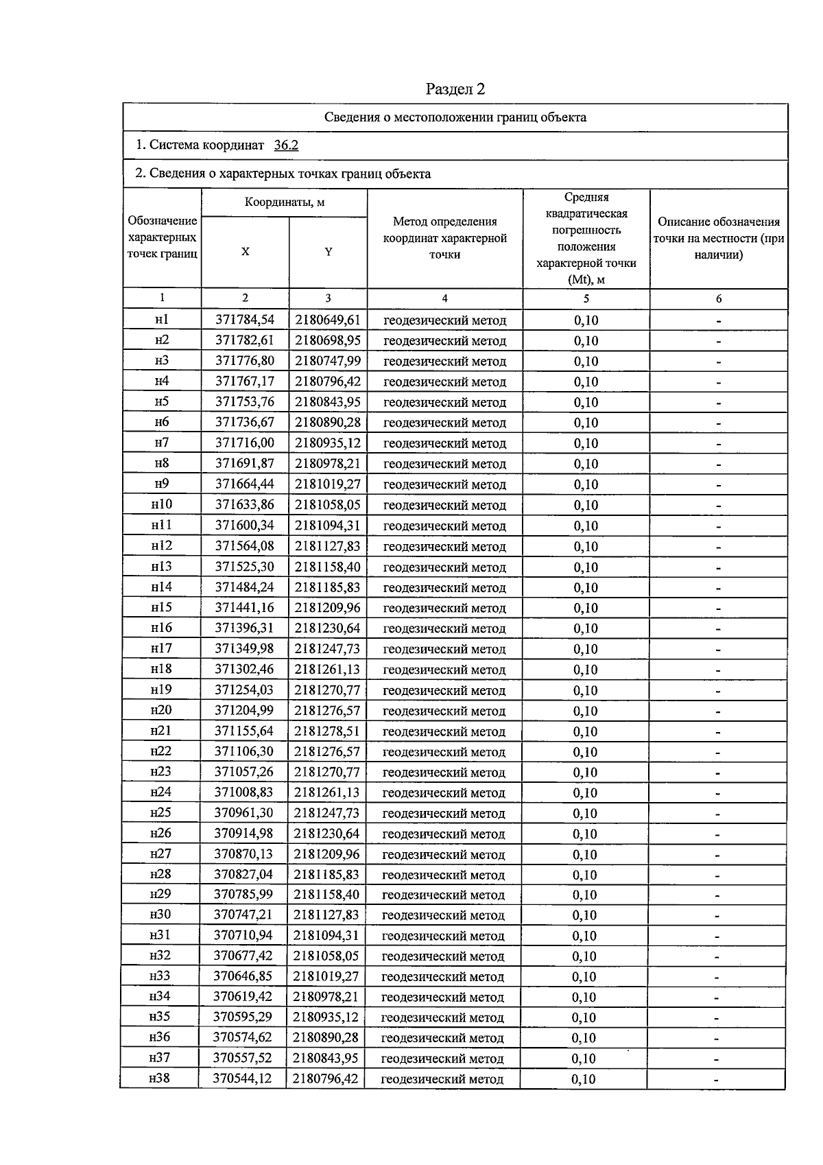
Приказ министерства природных ресурсов и экологии Воронежской области от 28.12.2024 № 499
"Об установлении зон санитарной охраны четырех существующих скважин для питьевого, хозяйственно-бытового и технологического водоснабжения ООО "Мамоновские фермы"
(Зарегистрирован 22.01.2025 № 2216)
Номер опубликования: 3601202501270021
Дата опубликования: 27.01.2025
Страница №16 из 18:
Увеличить