Официальное опубликование правовых актов
ОФИЦИАЛЬНОЕ ОПУБЛИКОВАНИЕ
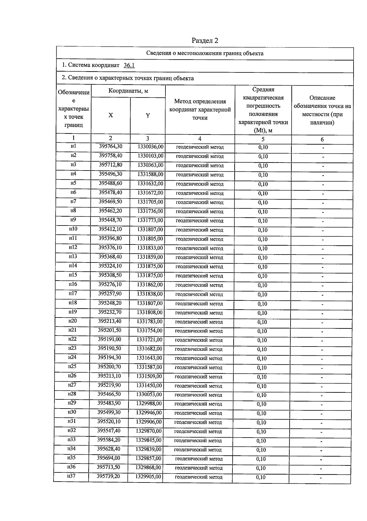
Приказ министерства природных ресурсов и экологии Воронежской области от 28.12.2024 № 510
"Об установлении зон санитарной охраны трех существующих скважин № 1, № 2 и №3 для питьевого, хозяйственно-бытового и технологического водоснабжения железнодорожной станции Сагуны"
(Зарегистрирован 23.01.2025 № 2231)
Номер опубликования: 3601202501270014
Дата опубликования: 27.01.2025
Страница №16 из 18:
Увеличить