Официальное опубликование правовых актов
ОФИЦИАЛЬНОЕ ОПУБЛИКОВАНИЕ
Приказ министерства природных ресурсов и экологии Воронежской области от 28.12.2024 № 502
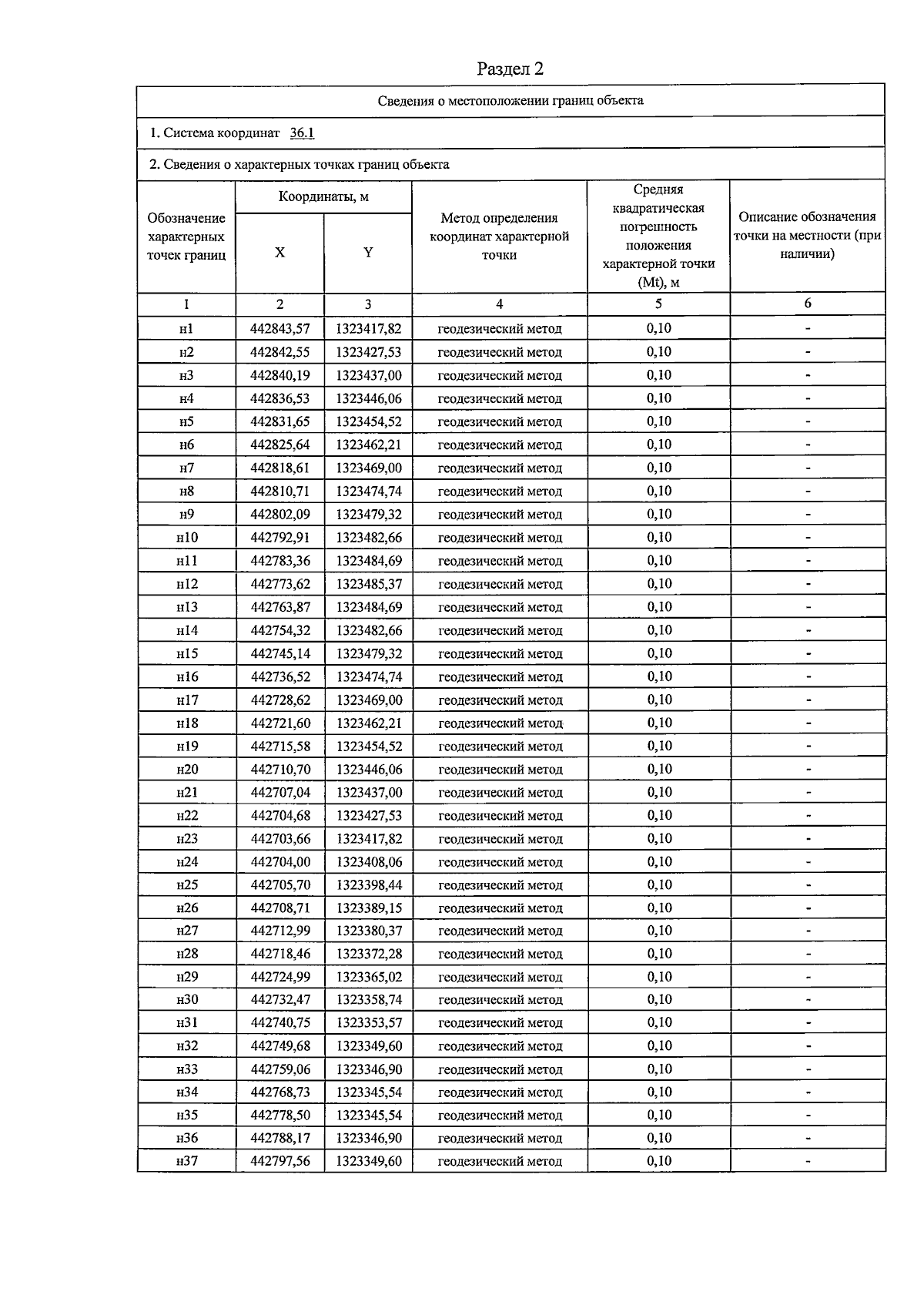
"Об установлении зон санитарной охраны существующей скважины № 1 для питьевого, хозяйственно-бытового и технологического водоснабжения железнодорожной станции о.п. 169 км"
(Зарегистрирован 23.01.2025 № 2223)
Номер опубликования: 3601202501270012
Дата опубликования: 27.01.2025
Страница №15 из 17:
Увеличить