Официальное опубликование правовых актов
ОФИЦИАЛЬНОЕ ОПУБЛИКОВАНИЕ
Приказ министерства природных ресурсов и экологии Воронежской области от 28.12.2024 № 508
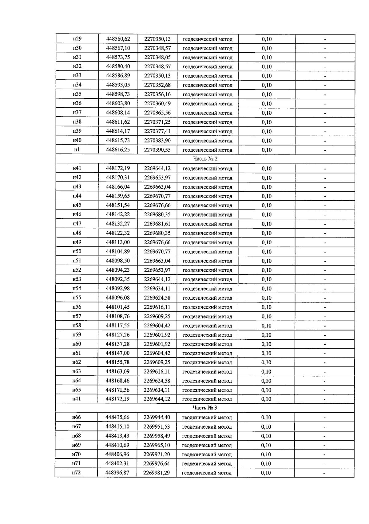
"Об установлении зон санитарной охраны трех существующих скважин № 1, № 2 и №3 для питьевого, хозяйственно-бытового и технологического водоснабжения железнодорожной станции Половцево"
(Зарегистрирован 23.01.2025 № 2229)
Номер опубликования: 3601202501270011
Дата опубликования: 27.01.2025
Страница №13 из 19:
Увеличить