Официальное опубликование правовых актов
ОФИЦИАЛЬНОЕ ОПУБЛИКОВАНИЕ
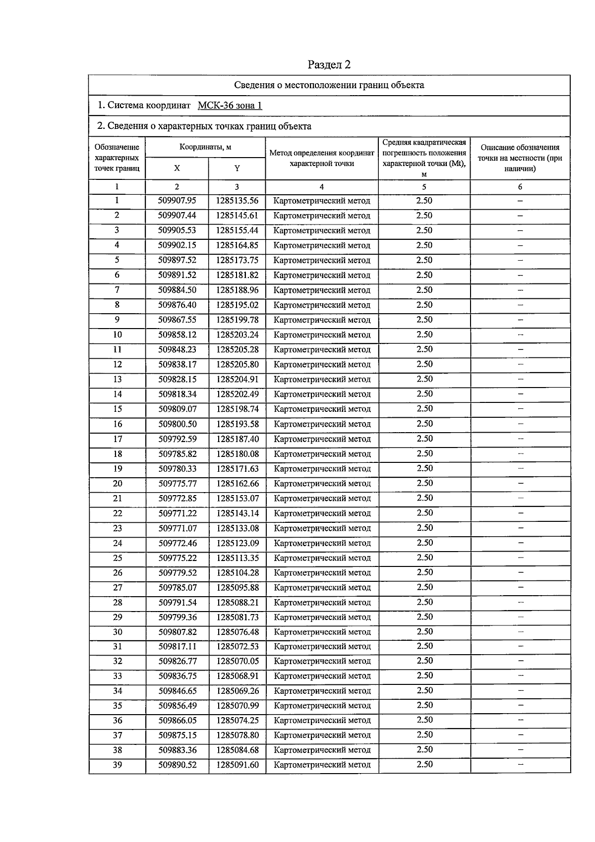
Приказ министерства природных ресурсов и экологии Воронежской области от 28.12.2024 № 500
"Об установлении зон санитарной охраны разведочно-эксплуатационной скважины №1 для питьевого и хозяйственно-бытового водоснабжения АЗС (ИП Чекусов С.В.)"
(Зарегистрирован 22.01.2025 № 2217)
Номер опубликования: 3601202501270010
Дата опубликования: 27.01.2025
Страница №15 из 17:
Увеличить