Официальное опубликование правовых актов
ОФИЦИАЛЬНОЕ ОПУБЛИКОВАНИЕ
Приказ министерства природных ресурсов и экологии Воронежской области от 28.12.2024 № 498
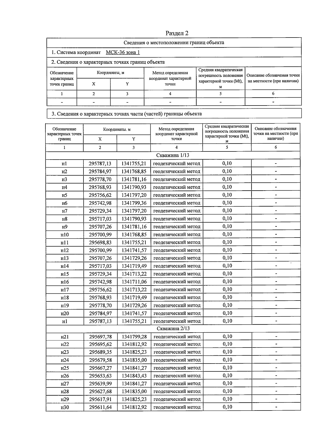
"Об установлении зон санитарной охраны шести скважин для питьевого, хозяйственно-бытового и технологического водоснабжения ООО "СХП "Новомарковское"
(Зарегистрирован 22.01.2025 № 2215)
Номер опубликования: 3601202501270002
Дата опубликования: 27.01.2025
Страница №15 из 23:
Увеличить